删除重复的节点
2023-07-25 21:12 作者:MicroShuai | 我要投稿
82. 删除排序链表中的重复元素 II
难度中等
1154
给定一个已排序的链表的头 head
, 删除原始链表中所有重复数字的节点,只留下不同的数字 。返回 已排序的链表 。
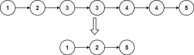
示例 1:

输入:head = [1,2,3,3,4,4,5]输出:[1,2,5]
示例 2:

输入:head = [1,1,1,2,3]输出:[2,3]

题解分析
1️⃣ 做极端判断
2️⃣ 构造一个哑节点 指向head
3️⃣ 判断 下一个值 是否 和 下下一个值 相 等 如果相等
1️⃣ 如果相等 那么 记录下一个节点的值(附值给一个变量)
并且一直判断之后 是否 有相同 的 节点
如果有相同的节点 ,那么每次 跳过该节点
2️⃣ 如果不想等 curr 正常向下找
4️⃣ 最后返回 哑节点 的 下一个节点

经典解法 : 构造 哑节点 调用一个curr 向下指向
这个体的特殊地方 ,用变量 记录 连续值 的 第 一个值 ,和 后面连续相同的值做比较
加油啦!!!!