欢迎光临散文网
会员登陆 & 注册
手机站
首页
散文
诗歌
杂文
随笔
日记
小小说
散文网
»
科技
»
学习
» CA-CFAR的Verilog实现
CA-CFAR的Verilog实现
2023-06-12 18:03 作者:
丶天之痕丶
0
人读过
|
我要投稿
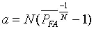
由于N可约除,故无除法运算
标签:
CFAR
我喜欢(
)
本文
作者的其他文章
CA-CFAR的Verilog实现的评论 (共
条)
分享到微博
请遵守国家法律
丶天之痕丶
发短消息
关注TA
你可能也喜欢这些文章
祛斑产品效果最好的排名第一,用后斑都没了!
监理工作的十六字方针
打造高级感家居,从大师莫奈的色彩秘笈入手
硬核实力 爆款进阶 第三代CS75PLUS东北上市
祛斑口碑最好十大排名合集,让美白祛斑变得更加简单
苹果仓促改名:新系统原名是“xrOS”!
开启阿胶3.0时代,百年堂阿胶凝膏让吃阿胶变简单
科企岛 :飞行机器人技术解决高空作业难题
如何防范暖气片漏水?
如果你不会写政治主观题…一个小时带你理清楚中考政治核心观点及其背后答题逻辑...
最新发布的文章
农发行河津市支行做好年终决算工作
农发行河津市支行持续加强反洗钱工作管理
农发行河津市支行扎实做好安保工作
农发行河津市支行组织开展宪法主题宣传活动
农发行河津市支行开展"挺膺担当,强国复兴"主题团日活动
年终总结2023,布局2024,挑一个目标置顶一整年!
12月20日维护结束,冰雪嘉年华开启!
2023扫文—高热不止 by 黄昏密度
Dive 55 工作的平衡
时尚 | 时尚趋势是如何做出来的?
三星 Galaxy S24 Ultra,HP2SX两亿像素主摄,骁龙8Gen3超频版,钛合金机身,类2K直屏
重庆TOP DECK超牌12月16日游戏王OCG积分赛环境战报
致命公司多人联机mod,汉化游戏下载使用安装教学!
致命公司多人mod,超全MOD模组管理器
战网下载卡在45%登录失败提示2045报错/战网一键下载注册教程!