COMSOL中相变能量桩段传热案例实操
COMSOL中相变能量桩段传热案例实操
作者:极度喜欢上课
(更多COMSOL学习视频请大家关注B站:极度喜欢上课
合作请加QQ:2905126697)
“能量桩”是一种浅层地热能的重要利用技术,目前也是近年来建筑、土木工程、绿色环保领域研究学者的热门研究方向。直接在中国知网搜索“能量桩”,显示共有178条相关的论文和成果,其中近十年的论文有174篇,占总论文数量的99.43%,近五年的论文有148篇,占总论文数量的84.57%。近年来随着相变材料的兴起,有许多研究学者更是将相变材料的概念融入到能量桩中,成为新的写作热点。本文主要参考白丽丽等人[1]于2019年发表在防灾减灾工程学报的一篇论文,结合具体的仿真和操作实际向大家展示在COMSOL中仿真一种相变能量桩段模型的详细操作步骤。
本模型在白丽丽等人[1]所提出的三维模型的基础上进一步简化几何,建立二维模型,可视为截取能量桩在特定深度和稳定传热状态条件下的一截足够薄的能量桩段,完整的几何模型如图1所示,掏空部分为换热管,深蓝色部分为相变混凝土,灰色部分为桩周土体,因为模型几何为对称几何,为了减少计算量最终只保留右上角部分进行计算。

本模型所使用到的参数如图2所示,其中模型中的相变混凝土部分为纯相变材料与混凝土的混合物,其热物理性能参数满足如图3所示的公式。其中,R1、R2为相变混凝土相变前后不同的热物理性能参数,可视为密度、导热系数和热容。Rc为普通混凝土的热物理性能参数;Rρ1、Rρ2为相变材料相变前后不同的热物理性能参数;wt%为相变材料的质量分数。其中相变材料的融化温度为25摄氏度。


换热管与桩体的接触边界为换热管所施加的温度边界,温度的变化情况满足图4。第1阶段为高温恒温阶段:温度为37摄氏度,保持24 h;第2阶段为自然降温阶段:简化为线性降温过程,经过24 h,由37摄氏度降为20摄氏度;第三阶段为温度稳定阶段,换热管内的温度保持为桩土初始温度20摄氏度。

如图5所示,展示了相变材料质量分数分别为0.1时,不同时刻下模型的温度云图。在初始时刻模型的温度为20摄氏度,从图中可以看到模型经历了升温和降温的过程,其中温度变化的最为剧烈的位置是换热管的周围以及换热管的中间位置。

如图6所示,展示了相变材料质量分数分别为0.1时,不同时刻下模型的相变云图。与温度云图的变化规律对应,最快发生相变的位置是换热管的周围以及换热管的中间位置。

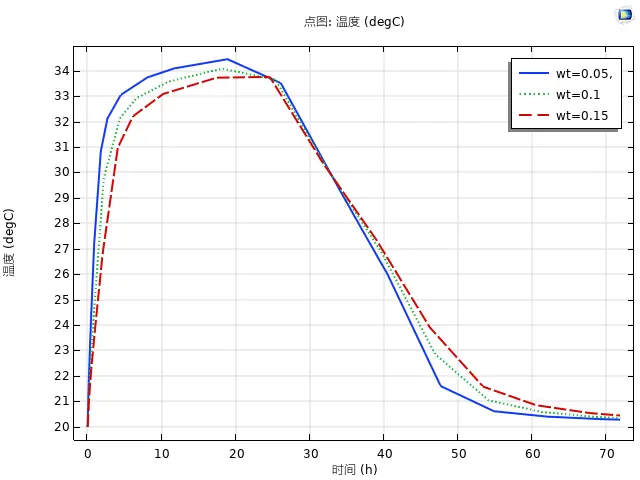
如图7所示,展示了相变材料质量分数分别为0.05、0.1和0.15时桩心的温度变化规律。温度的变化规律与白丽丽等人[1]的结果基本一致,在升温段,相变混凝图中的相变材料的比例越大桩心的温度上升越慢,在降温段,相变混凝图中的相变材料的比例越大桩心的温度下降越慢,可以看到相变材料对桩体的温度改变发挥了作用。

如图8所示,展示了相变材料质量分数分为0.1时,能量桩横向不同位置的温度变化。

[1]白丽丽,裴华富,宋怀博,张培龙.相变能量桩段模型传热模拟[J].防灾减灾工程学报,2019,39(04):684-690.DOI:10.13409/j.cnki.jdpme.2019.04.021.

