安诺伦代理lumiprobe——高品质荧光染料

Lumiprobe(是一家专注于生物标记试剂的科技公司,总部位于美国,他们的产品涵盖了分子生物学、细胞生物学和免疫学领域,并在科研、医疗以及生物制品等行业均有广泛应用。
热销产品介绍- sulfo-Cyanine7 NHS ester(胺反应性琥珀酰亚胺酯)

图片注释:产品实物图
名称:sulfo-Cyanine7 NHS ester(胺反应性琥珀酰亚胺酯)
货号:15320 25320 45320 55320 65320
规格:1mg 5mg 25mg 50mg 100mg(与上述货号一一对应)
外观:深绿色粉末
分子量:844.05
化学文摘社编号:1603861-95-5(potassium salt);1604244-45-2(inner salt);477908-53-5 (N-Ethyl)
分子式:C41H46N3KO10S2
溶解度:易溶于水、DMF、DMSO溶液。
纯度:NMR1H,HPLC-MS(95%)[以产品COA为准]
储存:在-20℃ 避光条件下12个月。
简介:
Sulfo-Cyanine7属于水溶性的近红外荧光染料,是一种胺类活性琥珀酰亚胺酯。
sulfo-Cyanine7是一种改进型的Cy7® fluorophore 类似物,但是其量子产率提高了20%,同时有更高的光稳定性,因此这种染料特别适合在近红外成像上应用。
近红外荧光成像利用了生物组织在特定波长范围内的透明度,该方法是非破坏性的,可以监测活体中各种标记分子的分布。
sulfo-Cyanine7 NHS ester可以轻松的标记在各种生物分子上,如蛋白质。这种标记后的蛋白可以应用于各种研究中,尤其是药物设计的相关实验中。
sulfo-Cyanine7 NHS ester也具备很高的水溶性,特别适用于比较脆弱和易变性的蛋白质。同时Lumiprobe也提供可以溶于有机相的同类荧光染料。

图片注释:sulfo-Cyanine7 NHS ester 吸光度值和发光光谱

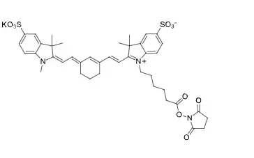
图片注释:sulfo-Cyanine7 NHS ester化学结构式
sulfo-Cyanine7 NHS ester可以应用于多个科研领域,在分子生物学、细胞生物学、免疫学、药物筛选等领域都有广阔应用场景。
1)分子生物学
sulfo-Cyanine7 NHS ester可以作为分子生物学中标记核酸分子的工具,并产生高强度的荧光信号,从而帮助科研者在PCR扩增、电泳分析、原位杂交等实验中追踪和可视化目标分子。
2)细胞生物学
可以用于细胞生物学研究中的细胞成像和定位研究。它可以与细胞内的特定分子或结构结合,并通过荧光信号来追踪这些分子或结构的位置和动态变化。
3)免疫学
例如免疫细胞分析、抗体检测和免疫组化实验。它可以与抗原或抗体结合,形成标记复合物,并通过荧光信号定位和检测抗原或抗体的存在和分布情况。
4)药物筛选
可以用于药物筛选领域中的药物传递和药效评估。通过标记药物或药物载体,科学家可以通过荧光信号追踪和定量药物在细胞或动物体内的分布和吸收,从而评估药物的效果和可行性。
产品引用文献:
1.Kang, Y.; Nack, L.M.; Liu, Yang and.; Qi, B.; Huang, Y.; Liu, Z.; Chakraborty, I.; Schulz, F.; Ahmed, A.A.A.; Poveda, M.C.; Hafizi, F.; Roy, S.; Mutas, M.; Holzapfel, M.; Sanchez-Cano, C.; Wegner, K.D.; Feliu, N.; Parak, W.J. Quantitative considerations about the size dependence of cellular entry and excretion of colloidal nanoparticles for different cell types. ChemTexts, 2022, 8(1), 9. doi: 10.1007/s40828-021-00159-6
2.do Valle Gomes, M.Z.; Masdeu, G.; Eiring, P.; Kuhlemann, A.; Sauer, M.; Åkerman, B:; Palmqvist, A.E.C. Improved biocatalytic cascade conversion of CO2 to methanol by enzymes Co-immobilized in tailored siliceous mesostructured cellular foams. Catalysis Science & Technology, 2021, 11(21), 6952–6959. doi: 10.1039/D1CY01354H
3.Kong, S.M.; Costa, D.F.; Jagielska, A.; Van Vliet, K.J.; Hammond, P.T. Stiffness of targeted layer-by-layer nanoparticles impacts elimination half-life, tumor accumulation, and tumor penetration. Proceedings of the National Academy of Sciences, 2021, 118(42), e2104826118. doi: 10.1073/pnas.2104826118
4.Trac, N.; Chen, L.-Y.; Zhang, A.; Liao, C.-P.; Poon, C.; Wang, J.; Ando, Y.; Joo, J.; Garri, C.; Shen, K.; Kani, K.; Gross, M.E.; Chung, E.J. CCR2-targeted micelles for anti-cancer peptide delivery and immune stimulation. Journal of Controlled Release, 2021, 329, 614–623. doi: 10.1016/j.jconrel.2020.09.054

