3 量子场论在弯曲时空
今天开始我们学习第三章,正式进入弯曲时空的部分,学习本章需要我们对广义相对论有一定的基础,相信大家都有一定的基础。下面我们开始3.1节的学习。
3.1 时空结构
首先我们假设时空是一个c无穷、n维、全局双曲的伪Riemannian流形。这些性质有助于后面我们量子化时空。
伪Riemannian度规所对应的线元可以表示为:

并且定义:

我们通常会使用Penrose图,它可以将整个时空利用有限的图表示出来,不过需要我们对度规做一个共形变换。注意共形变换和坐标变换是不一样的。将度规的共形变换表示为:

注意,\Omega是一个连续非零有限的实函数。
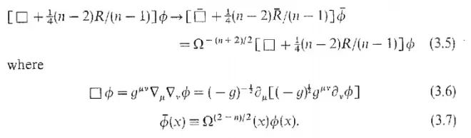
我们可以的带一些常用量在这个变换后的表示。如下:

并且有:

考虑一个2维Minkovski时空的线元:

在类光坐标

下线元变为:

再做一次坐标变换。

并且共性相关线元是被给的:

这个和(3.10)有相同的形式,他也可以覆盖整个时空。图4给出了变换后的时空图,它将无穷远压缩到了边界线上。

下面我们考虑一个4维的Schwarzschild时空,线元为:

变换到Kruskal坐标下:

线元中的第一项和(3.10)保持一致, 经过变换后我们可以得到:

这是完整的时空图。
最后我们要考虑一些Killing矢量的性质。Kinlling矢量满足Lie导数方程:

化简后为:

共性变换后的度规满足的方程为:


