欢迎光临散文网
会员登陆 & 注册
手机站
首页
散文
诗歌
杂文
随笔
日记
小小说
散文网
»
科技
»
学习
» 量子多体理论 ——BCS超导理论专题(2)
量子多体理论 ——BCS超导理论专题(2)
2022-09-04 16:17 作者:
掷骰子的肖
0
人读过
|
我要投稿
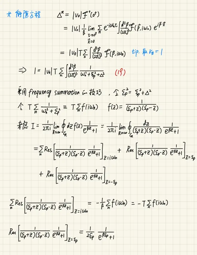
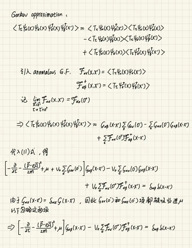
这一部分完成了零温的计算,并且主要计算了有限温下虚时Gorkov格林函数(Matsubara Gorkov G.F.)
标签:
我喜欢(
)
本文
作者的其他文章
量子多体理论 ——BCS超导理论专题(2)的评论 (共
条)
分享到微博
请遵守国家法律
掷骰子的肖
发短消息
关注TA
你可能也喜欢这些文章
在山东济南一场会议直播需要什么设备?--上山传媒
战斗之夜活动:四款海珀利安小队狗头炫彩免费领和限时掉落活动
【尘录.直谏】经天纬地.张昭&张纮
橘猫洛洛想睡觉01.相册.照片.图集
国行零售版诺基亚6300复刻版4G/NOKIA6300复刻版4G
青海构建新型电力系统,建设多能互补储能体系
中秋节,不管有钱没钱,也要牢记吃“3样宝”,寓意健康团圆
宇通房车C670雍和进口依维柯双拓展车型
铃铛回到Hero,宝宝锁最后一张王牌即将解封!久哲会如何绝地反击
异端?向灵感文『解救安哥拉曼纽』(part.1)
最新发布的文章
农发行河津市支行做好年终决算工作
农发行河津市支行持续加强反洗钱工作管理
农发行河津市支行扎实做好安保工作
农发行河津市支行组织开展宪法主题宣传活动
农发行河津市支行开展"挺膺担当,强国复兴"主题团日活动
年终总结2023,布局2024,挑一个目标置顶一整年!
12月20日维护结束,冰雪嘉年华开启!
2023扫文—高热不止 by 黄昏密度
Dive 55 工作的平衡
时尚 | 时尚趋势是如何做出来的?
三星 Galaxy S24 Ultra,HP2SX两亿像素主摄,骁龙8Gen3超频版,钛合金机身,类2K直屏
重庆TOP DECK超牌12月16日游戏王OCG积分赛环境战报
致命公司多人联机mod,汉化游戏下载使用安装教学!
致命公司多人mod,超全MOD模组管理器
战网下载卡在45%登录失败提示2045报错/战网一键下载注册教程!