控制工程基础应掌握的重要知识点
控制工程基础应掌握的重要知识点 控制以测量反馈为基础,控制的本质是检测偏差,纠正偏差。 自动控制系统的重要信号有输入信号、输出信号、反馈信号、偏差信号等。 输入信号又称为输入量、给定量、控制量等。 自动控制按有无反馈作用分为开环控制与闭环控制。 自动控制系统按给定量的运动规律分为恒值调节系统、程序控制系统与随动控制系统。 自动控制系统按系统线性特性分为线性系统与非线性系统。 自动控制系统按系统信号类型分为连续控制系统与离散控制系统。 对控制系统的基本要求是稳定性、准确性、快速性。 求机械系统与电路的微分方程与传递函数

编辑切换为居中
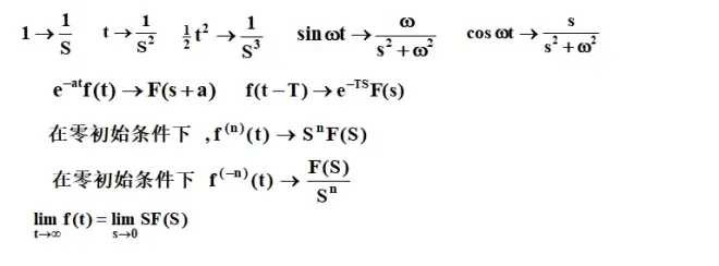
拉普拉斯变换: 拉普拉斯反变换 拉普拉斯变换解微分方程 传递函数是在零初始条件下将微分方程作拉普拉斯变换,进而运算而来, 传递函数与微分方程是等价的, 传递函数适合线性定常系统。

编辑

编辑
典型环节传递函数:

编辑
比例环节K 惯性环节 积分环节 微分环节

编辑

编辑
一阶微分环节 振荡环节

编辑
二阶微分环节
传递函数框图的化简

编辑

编辑
闭环传递函数

编辑

编辑
开环传递函数
误差传递函数
闭环传递函数是输出信号与输入信号间的传递函数。
误差传递函数又称偏差传递函数,是偏差信号与输入信号间的传递函数。
系统输出信号称为响应,时间响应由瞬态响应与稳态响应组成。
系统的特征方程是令系统闭环传递函数分母等于零而得。
特征方程的根就是系统的极点。
一阶惯性系统 的单位阶跃响应:

编辑

编辑
特征方程为:

编辑
特征方程的根(即极点)为:

编辑

编辑
单位阶跃信号

编辑
系统进入稳定状态指响应c(t)进入并永远保持在稳态值c(∞)的允许误差范围内,允许误差常取2%或5%
调整时间

编辑
二阶振荡系统:

编辑

编辑
编辑
特征方程为:
编辑
特征方程的根(即极点)为:
编辑
编辑
编辑
编辑
编辑
编辑
编辑
编辑
编辑
编辑
编辑

