欢迎光临散文网
会员登陆 & 注册
手机站
首页
散文
诗歌
杂文
随笔
日记
小小说
散文网
»
生活
»
日常
» 史济怀《数学分析》习题2.3参考答案
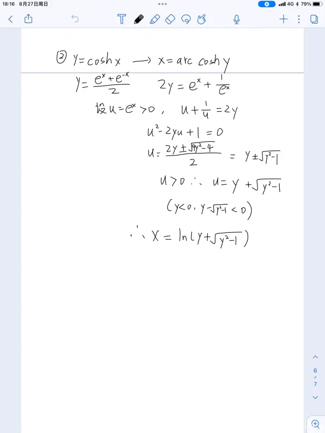
史济怀《数学分析》习题2.3参考答案
2023-08-27 19:56 作者:
graciie_p
0
人读过
|
我要投稿
自存档
标签:
我喜欢(
)
本文
作者的其他文章
史济怀《数学分析》习题2.3参考答案的评论 (共
条)
分享到微博
请遵守国家法律
graciie_p
发短消息
关注TA
你可能也喜欢这些文章
半球HDLB2000型开水器电路及维修
你知道美女姐姐们分别来自哪里嘛
我的工作室,真的很久没有好好的绘画了~
第一章,新来的舰长
【原神枫丹水神瞳】(85已完结)散失的水神瞳全收集/分区域收集/贴心领跑防...
MIMIWU高冷AI 吊带连衣裙女夏季高级感亮片重工艺名媛气质包臀裙
原神同人《时空交错:现代传奇》
希亦(CEYEE)CG超声波清洁机——初体验
拯救长岄计划•尸傀王
辽宁葫芦岛哪里出售酸枣苗__50公分野生酸枣苗价格多少钱一颗__辽宁哪里卖山枣树苗
最新发布的文章
农发行河津市支行做好年终决算工作
农发行河津市支行持续加强反洗钱工作管理
农发行河津市支行扎实做好安保工作
农发行河津市支行组织开展宪法主题宣传活动
农发行河津市支行开展"挺膺担当,强国复兴"主题团日活动
年终总结2023,布局2024,挑一个目标置顶一整年!
12月20日维护结束,冰雪嘉年华开启!
2023扫文—高热不止 by 黄昏密度
Dive 55 工作的平衡
时尚 | 时尚趋势是如何做出来的?
三星 Galaxy S24 Ultra,HP2SX两亿像素主摄,骁龙8Gen3超频版,钛合金机身,类2K直屏
重庆TOP DECK超牌12月16日游戏王OCG积分赛环境战报
致命公司多人联机mod,汉化游戏下载使用安装教学!
致命公司多人mod,超全MOD模组管理器
战网下载卡在45%登录失败提示2045报错/战网一键下载注册教程!