【最后十课】数列-核心全梳理!2023高考冲刺!第4讲
2023-07-17 20:22 作者:bili_14771140465 | 我要投稿

在数列中用不等式一定要验证等号成立条件

和我不同的方法,我是算S4045

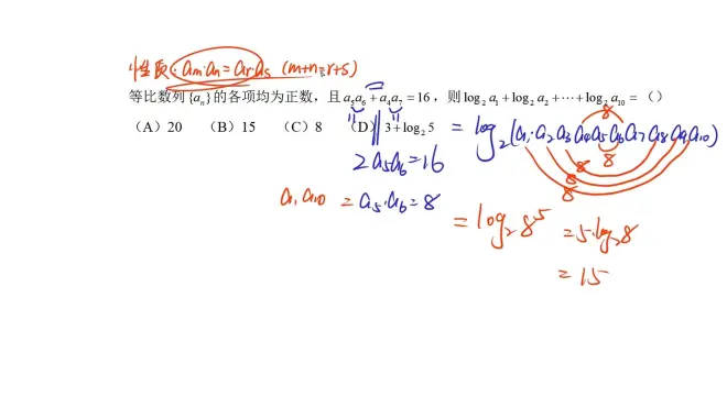
考试时遇到等比的两个通项相乘,一定要考虑他的性质公式

f


数列通项的核心求法

法二



这种情况一定要先通分


分离常数进行化简 很重要


接受题目提示构造很重要

题目绝大多是没有提示的
常见等价变形有
- 同构
小系数对大下标,大下标对小系数,形式不整齐,想同构,把形式化整齐,然后进行换元处理

交换系数的方法永不变,同除这两个数的乘积


- 因式分解法
当题目给出二次方程形式的递推关系时,基本都是用 因式分解 来进行处理

- 出现乘积项,同除乘积项
当题目的递推关系式中,出现前后两个通项相乘的时候,第一步要把他们分开,才能知道应该用什么求通项的方法
同除这两个通项的乘积

- 要进行恒等化简

即证明它的奇数项是等差,首先要收获这个奇数项的前后项递推关系式

混搭,一般比较简单
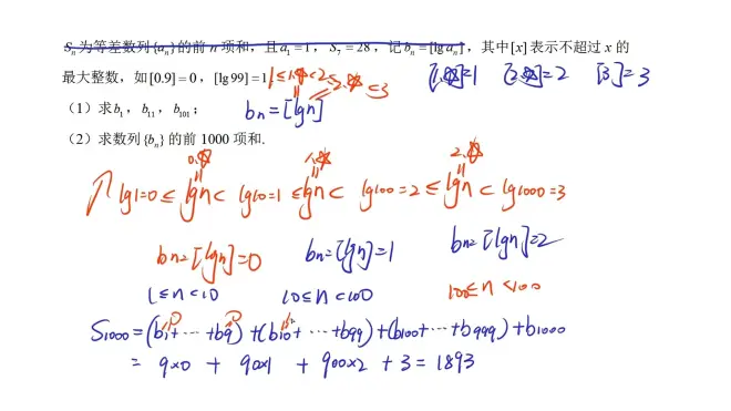
消灭S的时候,一般需要将S前的系数化为常数,有n的话先消n,这样才能两式作差


有时,题目表面上是研究Sn,实际上要先转化为an,然后再转化为Sn去研究,较为万能的方法是都去尝试一下,哪个简单就转化为谁
特殊情况,将Sn延伸变形一下

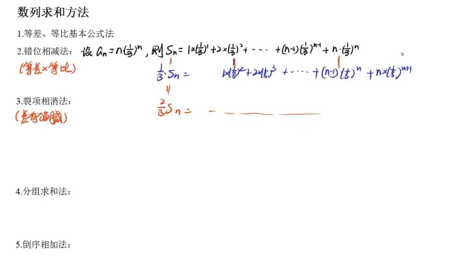
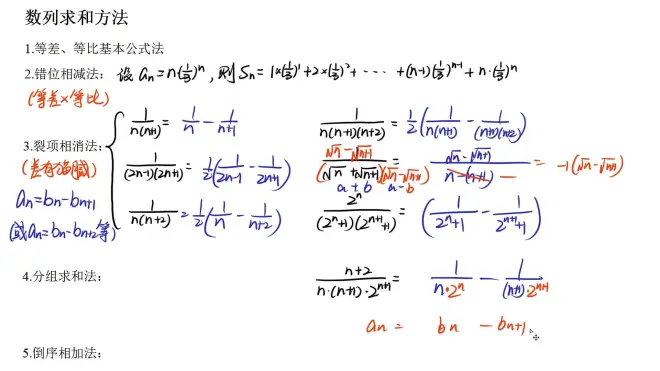
数列求和的基本方法
错位相减,书写时,上下两式最好对应,方便相减

裂项相消
三项一般都是裂成连续两项,带根式的选择平方或有理化


当一个数列an不能直接求和时,用分组求和法


倒序相加法,考到的较少,若考察也就是考头和尾的一些特殊的项之和
