欢迎光临散文网
会员登陆 & 注册
手机站
首页
散文
诗歌
杂文
随笔
日记
小小说
散文网
»
生活
»
日常
» 大学生数学竞赛教程蒲和平习题答案(习题1.2 6-10题)
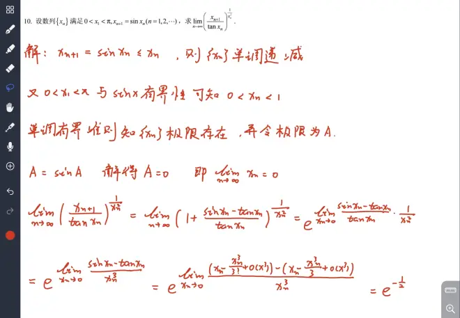
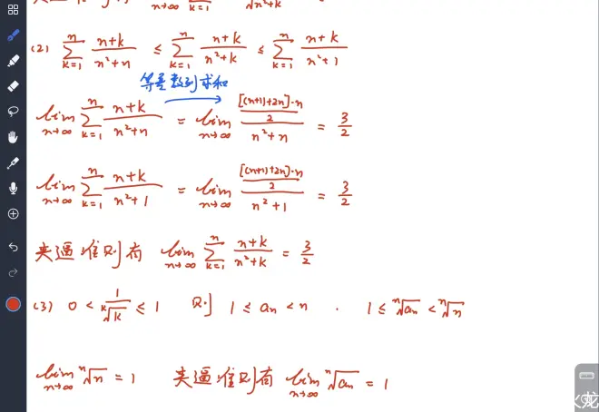
大学生数学竞赛教程蒲和平习题答案(习题1.2 6-10题)
2023-07-25 15:38 作者:
憨憨の小火龙
0
人读过
|
我要投稿
如有问题欢迎指出!
标签:
极限
竞赛
答案
高数
数列极限
蒲和平
我喜欢(
)
本文
作者的其他文章
大学生数学竞赛教程蒲和平习题答案(习题1.2 6-10题)的评论 (共
条)
分享到微博
请遵守国家法律
憨憨の小火龙
发短消息
关注TA
你可能也喜欢这些文章
今天断更一天,明天再更
BHQ2 Maleimide,BHQ-2 马来酰亚胺,荧光性能主要表现在其吸收和发射光谱上
【Sub】听一次-我太太太太太好看了吧!
KUBEY酷备KB235 14C28N钢折刀
普通高等教育小科目家教规划
广州治疗甲亢较好的正规医院?好的甲亢医院有哪些特点
【转载】蓝色的猫·七
这到底是什么玩意儿?
固定式氦气检漏仪(0-100%VOL)-泵吸式采样-深国安
【大众占卜(快占)】喜欢的人对你的感觉
最新发布的文章
农发行河津市支行做好年终决算工作
农发行河津市支行持续加强反洗钱工作管理
农发行河津市支行扎实做好安保工作
农发行河津市支行组织开展宪法主题宣传活动
农发行河津市支行开展"挺膺担当,强国复兴"主题团日活动
年终总结2023,布局2024,挑一个目标置顶一整年!
12月20日维护结束,冰雪嘉年华开启!
2023扫文—高热不止 by 黄昏密度
Dive 55 工作的平衡
时尚 | 时尚趋势是如何做出来的?
三星 Galaxy S24 Ultra,HP2SX两亿像素主摄,骁龙8Gen3超频版,钛合金机身,类2K直屏
重庆TOP DECK超牌12月16日游戏王OCG积分赛环境战报
致命公司多人联机mod,汉化游戏下载使用安装教学!
致命公司多人mod,超全MOD模组管理器
战网下载卡在45%登录失败提示2045报错/战网一键下载注册教程!