欢迎光临散文网 会员登陆 & 注册

考研光学·物理光学·光的干涉·知识点及公式总结

2023-07-28 10:22 作者:光电面壁人  | 我要投稿

《物理光学》第5版中的学习要求,与专业课考纲要求可能不尽相同。

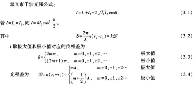
双光束干涉:

杨氏干涉也是双光束干涉

借助傍轴近似时的几何关系记忆:e/D=λ/d

类杨氏干涉,主要是装置的参数d的不同

借助傍轴近似时的几何关系:bc/l=λ/d


考研光学·物理光学·光的干涉·知识点及公式总结的评论 (共 条)

分享到微博请遵守国家法律