【三国志·战略版】伤害公式解析五:兵种克制
先贴一个上一篇的公式总结:
基础伤害=属性差*0.016 + ROUNDUP(log(2)兵力-9, 2)【基础伤害最低为0】
原始伤害=基础伤害*兵书进阶增伤*(我方战法增伤+敌方战法减伤) + 1
最终伤害=ROUNDUP[ ROUNDUP( 原始伤害*伤害系数, 2)*特殊增减伤*( 86~94 ), 0]
这段时间都在开荒,一直没时间写专栏,今天进资源州等铺路迁城了,地也打满了,开荒算告一段落,准备把剩余的部分写完
首先对上一期两个没有严谨测试的部分进行勘误
1、我方战法增伤与敌方战法减伤加法计算
正确的答案应该是减法运算



黄盖身上有兵书“无战而胜”提供的10%全减伤,而姜维我点出来了兵书“执锐”,有3%的全增伤
PS:兵书进阶增伤(红度)提供的增伤依然是乘法运算,并且50级5000兵以上的情况下是3%
2、特殊增减伤与浮动系数一起进行乘法计算
准确点来说应该是在浮动系数计算完毕并向上取整后,再进行特殊增减伤的运算并再次向上取整。这个只是四舍五入相关的问题,位置还是没变,就不贴数据了

回到正题:兵种克制

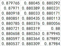
这是我打50级试炼的桃园盾时候的结果,由于桃园盾有盛气凌敌,很难记录姜维普攻的数据,放弃了,只有义胆雄心的这27个数据


上下相除后可以看到兵种被克制的情况下,降低了12%
带回验证并经过一系列懒得截图验证后,确认了兵种克制影响程度为12%的增减伤,计算位置与伤害系数乘法运算(考虑过特殊增减伤的情况并验证过,没有进位影响)
即:克制对方兵种时,造成的伤害系数提高12%,反之则降低12%

总结:
基础伤害=属性差x0.016 + ROUNDUP(log(2)兵力-9, 2)【基础伤害最低为0】
原始伤害=基础伤害x兵书进阶增伤x我方战法增伤x敌方战法减伤 + 1
结算伤害=ROUNDUP[ ROUNDUP( 原始伤害x兵种克制x伤害系数, 2 )x( 86~94 ), 0 ]
最终伤害=ROUNDUP( 结算伤害x特殊增减伤, 0 )

PS:经过我的抽查验证,超过10000兵(没错!巨戟士!)的情况下兵力伤害依旧符合5000兵以上的公式:ROUNDUP(log(2)兵力-9, 2)

没有详细的记录,将就看看吧,太史慈的普攻伤害增加也在兵刃伤害增加里面,只不过我抽查的那份太史慈的两下普攻都被庞统的士别三日规避掉了,就没在乎,孙权第一下普攻也给规避掉了,好在第二下普攻打了出来(10%是执锐的3%+第一下普攻带来的虎踞鹰扬的7%),伤害669存在于计算出来的结果中【巨戟士没办法像试炼那样打上300来次记录数据,只能这样抽查了_(:з」∠)_】

待验证:
1、等级压制
2、5000兵力以下的伤害公式
3、其他

