ICG-PEG-Biotin,吲哚菁绿-聚乙二醇-生物素的作用和用途
2023-03-27 15:07 作者:yu-si-yi-yao | 我要投稿
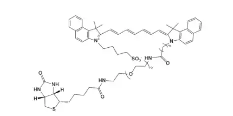
ICG-PEG-Biotin,吲哚菁绿-聚乙二醇-生物素
中文名称:吲哚菁绿-聚乙二醇-生物素
英文名称:ICG-PEG-Biotin
性状:粉末或固体
溶剂:溶于二氯甲烷等常规性溶剂
稳定性:-20℃,干燥避光
分子量:2000、3400、5000等,其他分子量可制定
用途:仅用于科学研究
结构式:

ICG是一种带负电荷的聚甲基菁染料,跟CY3,CY5,CY7这些菁染料不同的是它有这更高的吸收和发射波长,它的波长是800nm,虽然ICG的跟CY7.5的波长接近,但ICG却有着CY7.5无法达到的血红细胞结合能力。吲哚菁绿可用于测定心输出量、肝脏功能、肝血流量,和对于眼科血管造影术。
同系列材料推荐:
ICG-PEG-Folate吲哚菁绿-聚乙二醇-叶酸
ICG-PEG-SH吲哚菁绿-聚乙二醇-巯基
ICG-PEG-Alkyne吲哚菁绿-聚乙二醇-炔基
ICG-PEG-N3吲哚菁绿-聚乙二醇-叠氮
ICG-PEG-OH吲哚菁绿-聚乙二醇-羟基
Gold Nanoparticles Au-PEG2000-ICG吲哚菁绿修饰的金纳米颗粒

