欢迎光临散文网
会员登陆 & 注册
手机站
首页
散文
诗歌
杂文
随笔
日记
小小说
散文网
»
科技
»
学习
» 05 江苏省扬州中学2022-2023学年高三上学期1月月考数学试题
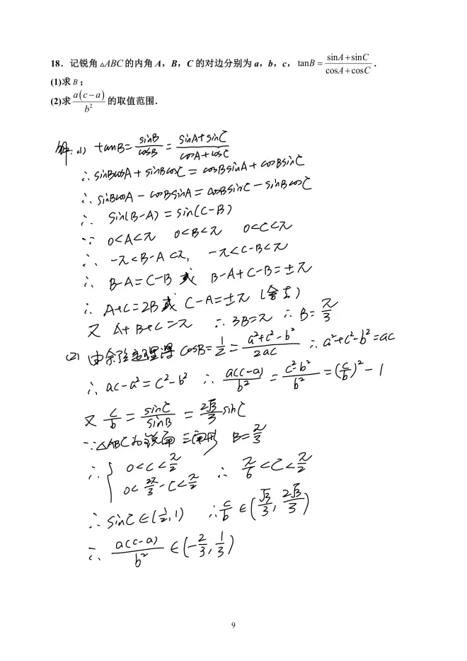
05 江苏省扬州中学2022-2023学年高三上学期1月月考数学试题
2023-02-18 18:05 作者:
逍遥数学老师
0
人读过
|
我要投稿
学生版下载:
链接:https://pan.baidu.com/s/1Bcktx8o6Qme9wGlfk336yA?pwd=xysx
提取码:xysx
标签:
高三
高三数学
高中数学综合训练题
高考数学
我喜欢(
)
本文
作者的其他文章
05 江苏省扬州中学2022-2023学年高三上学期1月月考数学试题的评论 (共
条)
分享到微博
请遵守国家法律
逍遥数学老师
发短消息
关注TA
你可能也喜欢这些文章
原来羚羊公主真的给了废羊羊!
【萧逸x你】浴后换衣
灯珠教授:想要通过led灯珠规格型号一览表的人,会在LED灯珠选型细节中藏着征兆吗?
关于我也拥有Apop绝美素人直拍这件事!Blackpink神级出道曲whistl
制作二维码说明书的方法有哪些?我来告诉你 | 云展网
强化业务能力提升,协同推进社区基金——清远市慈善总会携手相关
价格应该会达到百万级,奔驰EQS SUV将于2月21日上市
洗面奶哪个牌子好用?认准全球公认最好用的10大洗面奶
20230218人民日报每日金句摘抄
【Python】4小时学完Python|期末Python复习|期末突击【慕课】
最新发布的文章
农发行河津市支行做好年终决算工作
农发行河津市支行持续加强反洗钱工作管理
农发行河津市支行扎实做好安保工作
农发行河津市支行组织开展宪法主题宣传活动
农发行河津市支行开展"挺膺担当,强国复兴"主题团日活动
年终总结2023,布局2024,挑一个目标置顶一整年!
12月20日维护结束,冰雪嘉年华开启!
2023扫文—高热不止 by 黄昏密度
Dive 55 工作的平衡
时尚 | 时尚趋势是如何做出来的?
三星 Galaxy S24 Ultra,HP2SX两亿像素主摄,骁龙8Gen3超频版,钛合金机身,类2K直屏
重庆TOP DECK超牌12月16日游戏王OCG积分赛环境战报
致命公司多人联机mod,汉化游戏下载使用安装教学!
致命公司多人mod,超全MOD模组管理器
战网下载卡在45%登录失败提示2045报错/战网一键下载注册教程!