盘点高中数学有价值的二级结论!别学没用的!【必修篇】
2023-02-17 00:48 作者:Flying_in_the_S | 我要投稿

盘点高中数学有价值的二级结论!别学没用的!【必修篇】

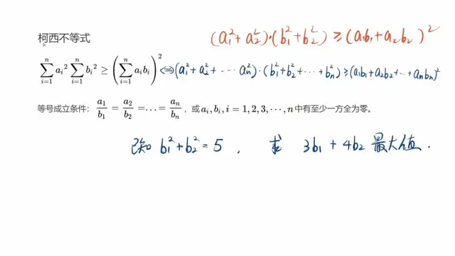
Part1 不等式
00:37⭐⭐⭐
00:37


03:02⭐⭐
03:02



06:41⭐⭐
06:41


⭐⭐
08:38


总结

Part2 函数性质
11:27
(下次再说)
总结
Part2 函数性质
(下次再说)