欢迎光临散文网
会员登陆 & 注册
手机站
首页
散文
诗歌
杂文
随笔
日记
小小说
散文网
»
笔记
»
全部笔记
» 【零基础数学】对数这玩意要听不懂我倒立拉稀好吧~~
【零基础数学】对数这玩意要听不懂我倒立拉稀好吧~~
2023-07-09 23:07 作者:
焼き肉萌
0
人读过
|
我要投稿
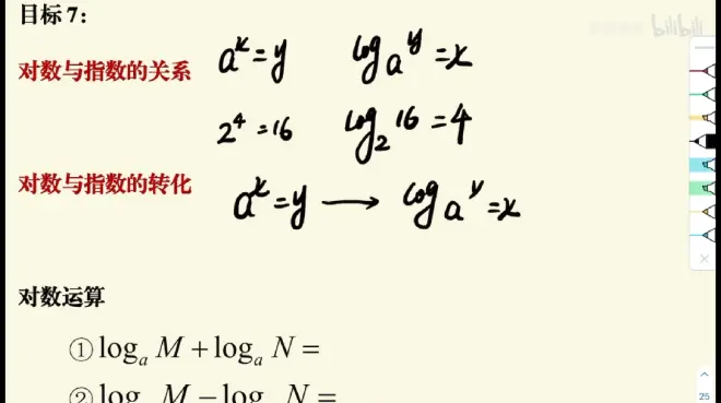
对数运算
1.对数相加(底数不变,真数相乘)
2.对数相减(底数不变,真数相除)
标签:
我喜欢(
)
本文
作者的其他文章
【零基础数学】对数这玩意要听不懂我倒立拉稀好吧~~的评论 (共
条)
分享到微博
请遵守国家法律
焼き肉萌
发短消息
关注TA
你可能也喜欢这些文章
七宗罪测试!你会犯哪种罪?是七罪全占or无罪一身轻?
«雪落骊山春»bycicadaES小说免费阅读
2675::
2674::
老人街头散钱66万无人要:钱非万能
2673::
蓝海项目,小红书塔罗占卜,门槛低,传播快,简单易做手机创业小白赚钱副业赚钱互联网
希梅亚ai测试
逆水寒手游恶有恶报任务怎么做 奇遇触发方法
2672::
最新发布的文章
农发行河津市支行做好年终决算工作
农发行河津市支行持续加强反洗钱工作管理
农发行河津市支行扎实做好安保工作
农发行河津市支行组织开展宪法主题宣传活动
农发行河津市支行开展"挺膺担当,强国复兴"主题团日活动
年终总结2023,布局2024,挑一个目标置顶一整年!
12月20日维护结束,冰雪嘉年华开启!
2023扫文—高热不止 by 黄昏密度
Dive 55 工作的平衡
时尚 | 时尚趋势是如何做出来的?
三星 Galaxy S24 Ultra,HP2SX两亿像素主摄,骁龙8Gen3超频版,钛合金机身,类2K直屏
重庆TOP DECK超牌12月16日游戏王OCG积分赛环境战报
致命公司多人联机mod,汉化游戏下载使用安装教学!
致命公司多人mod,超全MOD模组管理器
战网下载卡在45%登录失败提示2045报错/战网一键下载注册教程!