【2023福建高三质检数学】2023年度虐心大戏——福建省质检数学试卷解析!
2023-04-08 08:51 作者:Johansson莱茵 | 我要投稿
我对福建省检21题的一些看法与见解:
其实21题这种类型是妥妥的非对称韦达定理,太经典了。
如果你知道模型,就一定知道Q的轨迹是一条和x轴垂直的直线,很快就可以判断
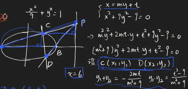
过椭圆焦点的直线与椭圆交于两点,这两点又和左右顶点连线交于另一点,那么这个交点在定直线上(x=m)
2020年全国一卷圆锥曲线用到了几乎一模一样的模型,只不过这次给出了定直线。需要我们反过来求直线过定点。

这类题型在模拟题里面也是屡见不鲜


解决这类非对称韦达定理的方法也很多,比如:
(1)需要涉及极点和极线,不过这种方法可以说华而不实,如果不追求130分以上真的没有必要知道什么是极点极线。
(2)主流方法就是设直线,与椭圆联立,然后写出韦达定理公式(这一步基本属于套路)

然后我们可以设交点坐标,然后运用相似把已知的坐标关系全部表示出来

随后整理一下形式,

这里面其实也需要一些小技巧,因为我们内心清楚其实点在x轴定直线上(x=m),但是不好明说,所以我们这样转化一下。
然后来到了整个方法的核心,把椭圆方程改写一下在反代入我们得到的非对称韦达定理式

进行消元后,我们就可以得到正常的韦达定理式,也就可以运用韦达定理来继续做了
同样地,2020年全国一卷也可以用这种方法做



基本上这样做可以解决绝大部分非对称韦达定理的题目,如果还有更好的做法也欢迎补充。

