欢迎光临散文网
会员登陆 & 注册
手机站
首页
散文
诗歌
杂文
随笔
日记
小小说
散文网
»
笔记
»
全部笔记
» 【高中数学基础全集】或许是高中最值得收藏的合集!奥数保送生主讲|2020新教材(
【高中数学基础全集】或许是高中最值得收藏的合集!奥数保送生主讲|2020新教材(
2023-08-07 16:08 作者:
想吃猪脚面
0
人读过
|
我要投稿
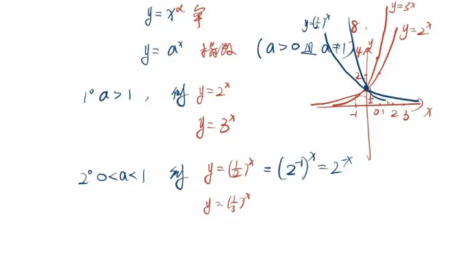
指数函数
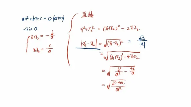
定义法
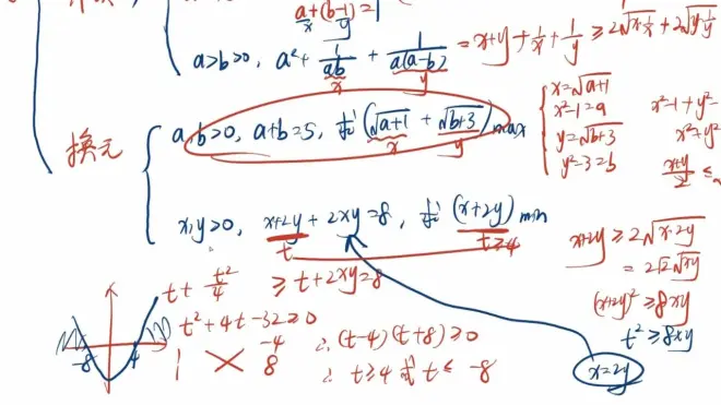
一次分式用换元,二次用德尔塔
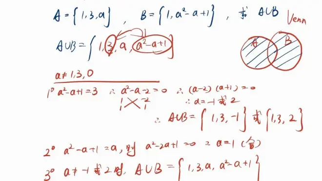
集合R代表一切实数
标签:
我喜欢(
)
本文
作者的其他文章
【高中数学基础全集】或许是高中最值得收藏的合集!奥数保送生主讲|2020新教材(的评论 (共
条)
分享到微博
请遵守国家法律
想吃猪脚面
发短消息
关注TA
你可能也喜欢这些文章
这年头好物分享还有人看吗?
家人们零基础学C4D真的不难南昌C4D培训班
《行侠仗义五千年》氪金攻略兑换码!!微氪让你快一步超越大佬~ 站在巨人肩膀上氪金!
使命召唤手游少前联动:12万的护盾值
顺鑫控股积极拥抱数字化,旗下科技板块赋能食品行业转型升级
西南交通大学电气工程学院考研(922电路分析)上岸干货分享!免费领取专业课试听
《蓝恒生旅2》第三十八章:敌我之间
EPIC免费游戏怎么领取?epic免费游戏送什么?
专访金宫川派味业董事长龚永泽 30年专注调味品,让人人都会做川菜
视百年|近视眼可以做手术恢复吗?近视手术哪里做比较好?
最新发布的文章
农发行河津市支行做好年终决算工作
农发行河津市支行持续加强反洗钱工作管理
农发行河津市支行扎实做好安保工作
农发行河津市支行组织开展宪法主题宣传活动
农发行河津市支行开展"挺膺担当,强国复兴"主题团日活动
年终总结2023,布局2024,挑一个目标置顶一整年!
12月20日维护结束,冰雪嘉年华开启!
2023扫文—高热不止 by 黄昏密度
Dive 55 工作的平衡
时尚 | 时尚趋势是如何做出来的?
三星 Galaxy S24 Ultra,HP2SX两亿像素主摄,骁龙8Gen3超频版,钛合金机身,类2K直屏
重庆TOP DECK超牌12月16日游戏王OCG积分赛环境战报
致命公司多人联机mod,汉化游戏下载使用安装教学!
致命公司多人mod,超全MOD模组管理器
战网下载卡在45%登录失败提示2045报错/战网一键下载注册教程!