ChatGPT火了,资本乐了,搬运工凉了

有些人担心人工智能的出现会令人类感到自卑,但任何有头脑的人单是观察花朵就应该能感到自己的渺小。——艾伦·凯(Alan Kay)
人工智能实验室OpenAI发布语言模型ChatGPT之后,短短4天时间,其用户量达百万级。不管是不是科技行业的从业者,几乎所有人都被ChatGPT刷屏了。
我在用中英日三种语言倒腾了几天ChatGPT以后,对这个产品有了一些初步的看法。先上总结:
从技术出发,ChatGPT是“大力出奇迹”的典型,简单说就是烧钱堆算力,一般的公司还真烧不动。
从个人出发,ChatGPT是一个非常好用的工具,对话,撰文,解题,编程,甚至还能设计方案,成果惊人。

当然,也由此引发了“打工人”的群体性焦虑:我会被ChatGPT取代吗?仿佛一夜之间所有人都开始关心起了自己的饭碗,更有甚者开始思考整个人类的命运。
那么,会有人即将被取代吗?会,首当其冲的是“搬运工”。
尤其是工作靠套路,或者有很强的规律性的一些工种,包括但不限于处于“搜索-复制-粘贴”水平的程序员和只会套用模板的初级写手。
“搬运工”在ChatGPT面前不堪一击。ChatGPT所能处理的数据量是个天文数字,特别是微软把它集成进Bing以后,又克服了生成AI所使用的数据不够新的缺点,所以靠在互联网搜索资料,再拼接成文章的初级写作法在这项技术面前将被直接碾压。
ChatGPT能淘汰人类吗?不能,ChatGPT本身存在致命缺陷,这些缺陷导致它无法和人类匹敌:
1. 无法理解人类的常识或伦理。举个例子,用日语问:哥哥和姐姐有什么不同?ChatGPT给出的回答是:哥哥通常比姐姐年龄大。目前他还只能从大量的数据中找出单词和单词之间的相关性,却对一个家庭的构成没有概念。

2. 没有基本的逻辑,一些简单的乘法也会出错。例如图中的4567 X 5678的回答就是错误的。

为什么会这样呢?
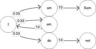
如下图所示,基于大数据的ChatGPT学习的只是单词间的关系,他并不能从本质上理解这一句话背后的逻辑或者相关知识。ChatGPT只会从海量的互联网数据中组合出可能性最大的回答,但最有可能并不代表回答是正确的,所以会出现很多回答错误的例子。

图片源自:https://sookocheff.com/post/nlp/ngram-modeling-with-markov-chains/
但也正是因为这种超强的组合能力,在互联网海量的数据面前,没有人比AI更懂套路。都说懂套路者得人心,下面让我们共同欣赏一下ChatGPT在撩妹上的表现:

各位直男们觉得怎么样,是不是感觉自己以后有救了? 熟练运用ChatGPT就能谈一场甜甜的恋爱了。
那么,回归正题,普通人如何避免被AI抢饭碗呢?
如果你现在做的是一些不需要逻辑推理,不需要处理人情世故,不需要洞悉未来的工作的话,那就赶紧离开舒适区,去提升自己。毕竟你可不知道,在老板的眼里,一个可以随意解约,并且24小时不间断工作的AI有多么香。
另外说一些题外话,关于很多评论提到的AI不具有创造性,在一个AI工程师的眼中,创造无非是在无穷的排列组合中选出一种符合要求的组合,而创造性就是能够用最少的试错找出这种组合的能力,本质上还是概率的问题。
去年的Midjourney已经为我们展示了在绘画领域AI也具备创造性。在我本人进行的AI生成音乐的研究中,除了我们的团队外还有很多大公司的团队也都达成了一定的预期效果,所以不久的将来,我们也可以看到在音乐领域里AI的创造性。

最后,技术在不断发展迭代,人类也在不断探索学习,不可以蔑视一项技术,也无需恐惧一项技术,人类不会被技术淘汰,只有被技术淘汰的人。
Stay foolish, stay hungry.
以上,共勉。