欢迎光临散文网
会员登陆 & 注册
手机站
首页
散文
诗歌
杂文
随笔
日记
小小说
散文网
»
笔记
»
全部笔记
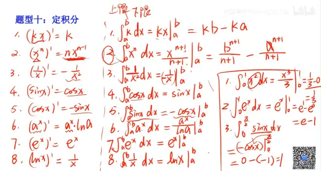
» 高中数学:定积分计算
高中数学:定积分计算
2023-06-25 22:39 作者:
栗子鸭yaya
0
人读过
|
我要投稿
eg
06:05
标签:
我喜欢(
)
本文
作者的其他文章
高中数学:定积分计算的评论 (共
条)
分享到微博
请遵守国家法律
栗子鸭yaya
发短消息
关注TA
你可能也喜欢这些文章
【碧蓝航线】印尼战役(序)
细长的制作人//ニトリのワゴンセール
2024年电子科技大学中山学院专插本
暗区突围国际服下载登录保姆级教学
胡霞医生:脚走路痛靠脚边边走路是怎么回事?
陕西君昊机电设备有限公司-公司简介
既不是历史写实,也没有小说改编艺术,
三年多巨亏超40亿,物美“亲儿子”多点DMALL“流血谋上市”
稻妻罪犯、至冬叛徒、须弥腐乳,出列!《孤散者》细数原神最具争议角色的游戏内外生态
绚丽梦幻美少女壁纸,点亮你的手机屏幕
最新发布的文章
农发行河津市支行做好年终决算工作
农发行河津市支行持续加强反洗钱工作管理
农发行河津市支行扎实做好安保工作
农发行河津市支行组织开展宪法主题宣传活动
农发行河津市支行开展"挺膺担当,强国复兴"主题团日活动
年终总结2023,布局2024,挑一个目标置顶一整年!
12月20日维护结束,冰雪嘉年华开启!
2023扫文—高热不止 by 黄昏密度
Dive 55 工作的平衡
时尚 | 时尚趋势是如何做出来的?
三星 Galaxy S24 Ultra,HP2SX两亿像素主摄,骁龙8Gen3超频版,钛合金机身,类2K直屏
重庆TOP DECK超牌12月16日游戏王OCG积分赛环境战报
致命公司多人联机mod,汉化游戏下载使用安装教学!
致命公司多人mod,超全MOD模组管理器
战网下载卡在45%登录失败提示2045报错/战网一键下载注册教程!