104582-29-8,Biotin-SS-COOH是一种可裂解的生物素交联剂
Biotin-SS-COOH是一种可裂解的生物素交联剂。该连接物还可用于合成化学生物学工具,用于在生物实验和分析中标记靶蛋白。它具有双重功能:通过生物素富集和嵌入式二硫键在还原条件下裂解。
中文名称:生物素-SS-酸
英文名称:Biotin-SS-COOH
CAS:104582-29-8
分子式:C15H25N3O4S3
分子量:407.56
品牌名称:陕西新研博美生物科技有限公司
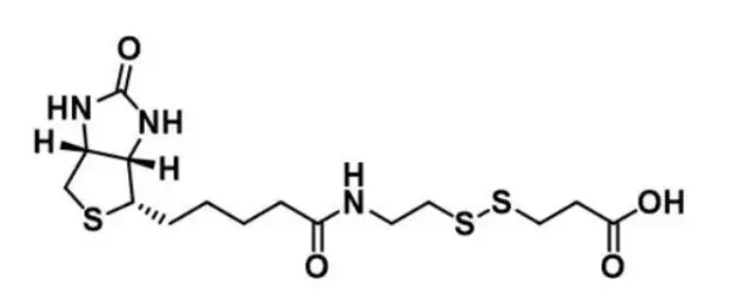
一.结构式

二.产品形式
1.白色固体
2.溶于大部分有机溶剂,溶于水
3.端基取代率95%+
三.保存建议
避免反复冻融,避光保存,储液应该立即使用,任何未用的溶液分装小份冷冻于 < -20°C。
四.订购须知
关于库存:怕出现断货,请在购买之前咨询客服是否有货。
关于发货:每日订单截止时间为16点整,部分城市可到17点整,因超过截止时间造成当日不能发货的将于次日安排顺丰进行发货。
五.相关试剂
CAS:53906-36-8 D-生物素醇 D-Biotinol
CAS:95611-10-2 2-生物素氨基乙醇 Biotin-PEG1-OH
CAS:1778736-18-7 生物素-四聚乙二醇 Biotin-PEG4-OH
CAS:N/A 生物素-四聚乙二醇-酰胺-4苯酚 Biotin-PEG4-NH-CH2CH2-4-Phenol
CAS:1352814-07-3 生物素-六聚乙二醇-丙酸叔丁酯 Biotin-PEG6-Boc
CAS:N/A 生物素-八聚乙二醇-碘乙酰胺 Biotin-PEG8-iodoacetamide
CAS:1204577-00-3 生物素-十一聚乙二醇-丙烯酰胺 Biontin-PEG11-Acrylamide
注意事项:仅用于科学研究或者工业应用等非医疗目的,不可用于人类,非药用,非食用
本文整理分享来自于:陕西新研博美生物科技有限公司的冬冬小编