GAMES101-现代计算机图形学入门-闫令琪
光删化:将三维空间的几何形体显示在屏幕上
向量:方向和长度,没有起始位置
向量长度:各个方向平方相加开方
单位向量:向量除向量的长度
- 点乘:

在笛卡尔坐标系中的点乘计算:

点乘在图形学中应用:
1.得到两个向量的夹角
2.求一个向量在另一个向量上的投影
3.确定两个向量接进度
- 叉乘

|AxB| = |A| |B| sinの
叉乘的结果和两个原始向量都垂直
向量叉乘自己得到0向量
叉乘可以判断一个向量在另一个向量的左右
判断点在三角形内
- 矩阵
矩阵相乘的前提是(M x N)(N x P)
第一个矩阵的列数 等于第二个矩阵的行数

矩阵乘结果的(i,j)的结果是第一个矩阵的i行表示的向量和第二个矩阵j列表示的向量的点积结果
矩阵乘没有交换律,有结合律和分配律
矩阵和向量的乘法,认为矩阵和列矩阵乘
互逆矩阵乘得到单位矩阵,单位矩阵对角线为1,其他为0
点乘写成矩阵的形式:
a和b的点乘是a的转置矩阵和b的列矩阵相乘

叉乘写成矩阵的形式:

- 变化
- 缩放矩阵
均匀缩放

不均匀缩放

- 关于Y轴对阵矩阵

- 关于切变矩阵

- 关于旋转矩阵

根据二阶矩阵方程推导:

- 规律
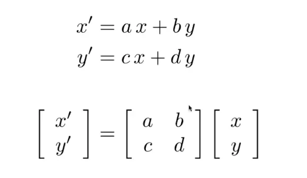
对于任意的变换,变换后的点和变换前的点存在用变换前的点通过线性方程便是出来,都可以写成矩阵的形式,这种变换叫做线性变换

- 齐次坐标
引入原因:上面说了ax + by 的方式都可以写成矩阵的形式,但是平移的操作的公式如下,不能写成矩阵的形式。

只能写成如下:

引入后:

引入后对于所有的仿射变化都可以根据引入的齐次坐标写成一个矩阵和一个向量相乘的形式

在齐次坐标的表示下各种变换矩阵就可以写成如下方式:

- 逆变换
矩阵乘逆矩阵一定等于单位矩阵
矩阵是从右向左计算的
三维空间中齐次坐标表示:

三维空间的仿射变换矩阵通常写成如下格式:

转置矩阵等于矩阵的逆矩阵的矩阵称为正交矩阵,在仿射变换中,旋转矩阵就是一个正交矩阵,反向旋转多少度的矩阵等与正向旋转多少度的转置矩阵。
- 三维缩放矩阵:

- 三维平移矩阵

- 三维旋转矩阵(困难)

- 罗德里格旋转公式

- MVP变换
模型变换-视图变换-投影变换

