欢迎光临散文网
会员登陆 & 注册
手机站
首页
散文
诗歌
杂文
随笔
日记
小小说
散文网
»
笔记
»
全部笔记
» 高中数学基础与解法全集(涵盖所有)|长期更新|从零开始拯救所有学渣!通俗易懂|高
高中数学基础与解法全集(涵盖所有)|长期更新|从零开始拯救所有学渣!通俗易懂|高
2023-07-29 17:29 作者:
机构的风景
0
人读过
|
我要投稿
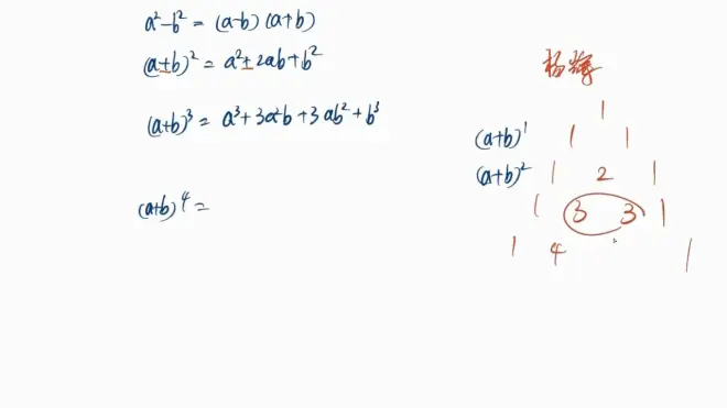
杨辉三角
标签:
我喜欢(
)
本文
作者的其他文章
高中数学基础与解法全集(涵盖所有)|长期更新|从零开始拯救所有学渣!通俗易懂|高的评论 (共
条)
分享到微博
请遵守国家法律
机构的风景
发短消息
关注TA
你可能也喜欢这些文章
快速堆积门厂
天津市代理记账公司
洛阳隔墙板
依视路星趣控镜片
鄞州区快速门厂家
蔡司眼镜好吗
天津人才求职网
杭州三维家零基础开始学习|一对一学出来有什么用
九江景观石厂家
天津 人才服务网
最新发布的文章
农发行河津市支行做好年终决算工作
农发行河津市支行持续加强反洗钱工作管理
农发行河津市支行扎实做好安保工作
农发行河津市支行组织开展宪法主题宣传活动
农发行河津市支行开展"挺膺担当,强国复兴"主题团日活动
年终总结2023,布局2024,挑一个目标置顶一整年!
12月20日维护结束,冰雪嘉年华开启!
2023扫文—高热不止 by 黄昏密度
Dive 55 工作的平衡
时尚 | 时尚趋势是如何做出来的?
三星 Galaxy S24 Ultra,HP2SX两亿像素主摄,骁龙8Gen3超频版,钛合金机身,类2K直屏
重庆TOP DECK超牌12月16日游戏王OCG积分赛环境战报
致命公司多人联机mod,汉化游戏下载使用安装教学!
致命公司多人mod,超全MOD模组管理器
战网下载卡在45%登录失败提示2045报错/战网一键下载注册教程!