高一必考的抽象函数!
hello,大家好!
在高中数学中,一般来说,遇到的第一个难点便是函数,尤其是高一的抽象函数,由于其确实“抽象”,导致许多数学基础不好的同学开始懵圈,继续发展下去,可能会导致整个高中数学成绩不理想。
其中一类抽象函数题目具有以下形式:

可以看到这类题中的已知条件是个函数方程,并不明确到底是什么,导致许多学生“被水淹没,不知所措”。
一般来讲,这种题中的函数方程有以下四种基本样式:

事实上,我们可以尝试代入特殊的函数来快速解决这类问题:

于是,见到这种题时,只要把换成具体的表达式,就毫不费力了
你可能会疑惑:这类函数方程的解一定是长成这种形式吗?这些特殊的函数恰好满足方程,是不是只是一种巧合呢?
事实上,这不仅仅是巧合,也是必然。这些特殊的函数就是方程的通解。
问题来了,如何证明呢?
我们可以使用【柯西爬坡法】,即从最特殊的情况出发,逐渐扩充至所有情况,便能得到一般情况。
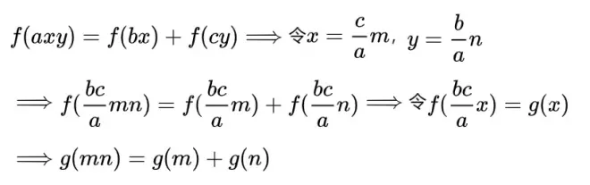
我们以第一行为例说明:

【证明】


在高数课中有这样一道题:

在这道题中,由于已知f(x)可导,于是我们可以直接用导数定义做:

再根据,可得
对于其他的函数方程,有一部分可以转化为上述的四大类基本型,例如:

以上就是全部内容了,感谢收看!
拜拜~~

