高考数学系统复习【函数概念与性质】|函数篇1|小姚老师
2023-07-07 22:10 作者:请诉讼代理人帮我考试 | 我要投稿

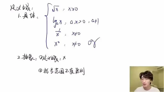
括号一致


值域
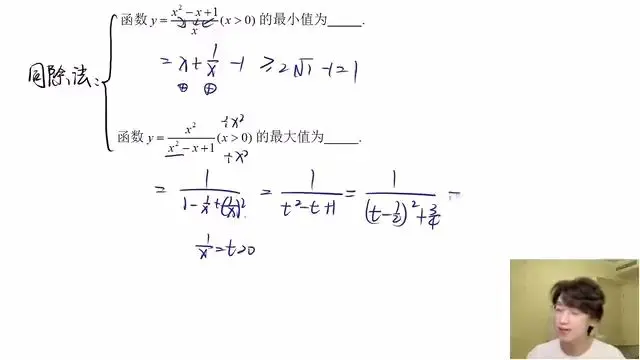
同除法

换元法
换元优先关注定义域x-1=t>o
07:20

分离常数
09:30
10:23
第二模块
16:45

常见奇函数

著名奇函数

推导过程
20:35
举个栗子 小心定义域陷阱
22:58

24:49

对称中心的应用
32:32


解答
33:50
对称性
39:28

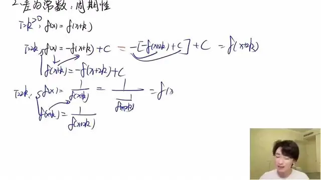
周期性
45:14



结论





