综述分析 | 污水处理过程N2O排放:过程机制与控制策略
编者按:
污水处理生物脱氮过程中氧化亚氮(N2O)作为直接碳排放源,其大气升温效应较CO2高出265倍。N2O产生源于硝化与反硝化过程,主要涉及亚硝化(AOB)及其同步反硝化、常规异养反硝化(HDN)、同步异养硝化-好氧反硝化(HN-AD)和全程氨氧化(COMAMMOX)等生物途径,以及硝化过程中间产物NH2OH与NOH之非生物化学途径。常规硝化与反硝化(AOB+HDN)途径在正常运行工况下N2O排放量并不是很大,约只占进水TN负荷的1.3%;即使是HN-AD与COMAMMOX代谢过程,两者N2O产生量也不足TN负荷的0.5%。不可忽视的是AOB亚硝化及其同步反硝化,它们已被确认为是污水处理生物脱氮过程中N2O排放的首要途径;AOB过程中间产物(NH2OH与NOH)非生物化学过程以及AOB反硝化生物过程(主途径)共同导致的N2O排放量可高达TN负荷的13.3%,主要是因为硝化过程溶解氧(DO)受限引起NO2-积累所诱发的AOB反硝化过程。污水处理生物脱氮过程中为防止N2O产生,应着力促进HDN反硝化进行完全和避免AOB反硝化过程。为此,运行过程中应控制曝气池中DO处于正常水平(~2 mg·L-1),并尽可能延长污泥龄(SRT→20 d),以避免AOB亚硝化积累NO2-并诱发AOB反硝化出现;同时,应及时补充进水碳源,以促进HDN反硝化进行完全至终点——N2。本论文综述分析了生物脱氮过程中涉及N2O产生的所有机制,并根据过程机理讨论了对其运行控制的策略。文章将于2023年2月第2期《环境科学》上发表。
文章亮点
1 污水处理脱氮过程N2O产生的主要途径为:硝化与反硝化、AOB同步亚硝化与反硝化和全程氨氧化(COMAMMOX)途径;其中,AOB亚硝化及其同步反硝化为污水处理生物脱氮过程中N2O排放的首要途径。
2 绘制出各种N2O产生的途径的路线图并总结了相应的产率系数。
3 基于生物脱氮过程中涉及N2O产生的所有机制,提出相应的运行控制策略。
01 污水脱氮过程中N2O产生途径与机制
好氧硝化(AOB和NOB)与常规异养反硝化(HDN)、同步异养硝化-好氧反硝化(HN-AD)和全程氨氧化(COMAMMOX)代谢过程产生N2O机制均已被探明,是基于它们的硝化/短程硝化与反硝化途径。因此,可以将目前已经明晰、且作用明显的污水处理脱氮过程涉及N2O产生的主要生物过程和次要非生物过程汇总于图1,并对各个过程转化路径机制以及N2O产生贡献率进行分析和讨论。




图1 污水处理脱氮过程N2O产生途径(来自原文)
1.1 硝化与反硝化途径
1.1.1 硝化途径
1)AOB短程硝化
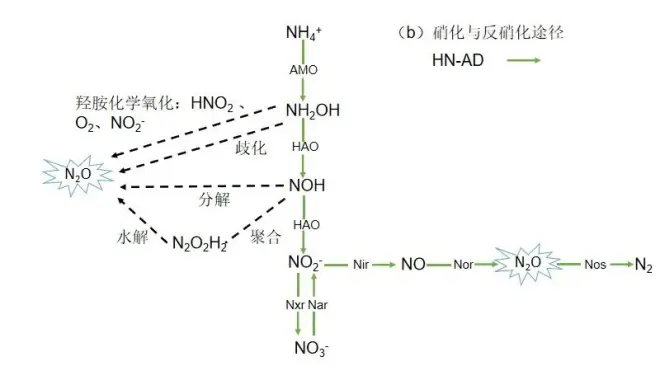
AOB将NH4+氧化为NO2-的生物过程中主要经过羟胺/NH2OH(由氨单加氧酶/AMO催化)与次要途径硝酰基/NOH(由羟胺氧化还原酶/HAO催化)两个中间产物,如图1(a)所示。NH2OH或NOH可经生物途径①或非生物化学途径②转化至N2O。
①在生物途径中[图1(a)中红色线条],存在由NH2OH直接转化为N2O的两个生物过程。一个是在无氧条件下,cyt P460(HAO的c型血红素)将NH2OH直接氧化为N2O,但此过程在好氧情况下显然不能发生。另一个是NH2OH向NO过渡的生物氧化过程(由HAO催化),也是N2O潜在来源;在这一NH2OH生物氧化过程中,AOB能释放两个细胞色素c分子,参与AOB电子传递,其中,细胞色素之一的c554分子可以作为一种NO还原酶/Nor,把由HAO催化产生的NO于菌体外还原为N2O。大多数AOB中都能检测到Nor基因组。此外,经NH2OH生物氧化产生的NO也能逆向转化为NO2-(由未知酶/NcyA催化)。
②在非生物化学途径下[图1(a)中黑色虚线条],从NH2OH和NOH化学转化N2O分别是NH2OH化学氧化或歧化以及NOH在好氧条件下二次聚合生成次亚硝酸/N2O2H2后再发生水解反应产生N2O。
2)HN-AD与COMAMMOX硝化
HN-AD菌氧化NH4+、NH2OH或有机氮化合物时并不从该过程中获得能量,而是利用有机碳源和有氧呼吸来产生能量。HN-AD菌能进行完全硝化,将NH4+逐步转化为NO3-,但分别需要AMO、HAO和硝酸盐氧化还原酶/Nxr等酶加以辅助[图1(b)]。
COMAMMOX是硝化螺旋体菌属的一个从属菌属,能将NH4+逐步氧化至NO3-,进行完全NH4+氧化(一步到位)。COMAMMOX携带AOB与NOB同源基因组,能同步进行AOB的NH4+氧化与NOB的NO2-氧化。COMAMMOX在AMO酶催化作用下,先将NH4+氧化为NH2OH,之后NH2OH依次被氧化为NOH和NO2-,该过程由HAO酶催化完成,最终NO2-在Nxr酶催化作用下,转化为NO3-[图1(c)]。迄今为止,所报道的COMAMMOX基因组中缺乏编码Nor基因及细胞色素c蛋白,无法将由硝酸盐还原酶/Nar和亚硝酸盐还原酶/Nir生物还原而成的NO转化为N2O。
1.1.2 反硝化途径
1)HDN与HN-AD反硝化
HDN是以有机物(COD)作为电子供体,在不同氮氧化物还原酶催化作用下将NO3-依次还原为N2的过程,如图1(a)中紫色线条所示。参与催化HDN反硝化过程的酶包括Nar、Nir、Nor和N2O还原酶/Nos。Nos最大还原速率大约是Nar或Nir还原速率的4倍,这表明在缺氧或厌氧条件下,N2O可以被彻底还原,并不会发生N2O积累。但在污水生物脱氮实际运行过程中一些因素会抑制Nos活性,如,缺氧环境中存在DO、低pH、高NO2-浓度和C/N等因素,导致N2O在反硝化过程中发生暂时性积累。HDN中除了反硝化脱氮菌能产生N2O外,反硝化除磷(DPAO)菌,亦能产生N2O。DPAO过程中所利用的细胞贮存物质PHA和NO2-积累是缺氧条件下DPAO过程产生N2O之关键因素。最新研究发现,ANAMMOX过程会产生N2O,但颗粒污泥内部HDN反硝化作用最终被认定为ANAMMOX反应器(即,颗粒污泥)排放N2O的根本原因。
HN-AD菌亦能同步摄取O2和NO3-,在Nar、Nir、Nor和Nos等酶催化作用下,进行好氧反硝化,将NO3-逐步还原为N2或N2O [图1(b)]。
1.2 AOB同步亚硝化与反硝化途径
AOB除了亚硝化途径外,亦可通过反硝化途径产生N2O。有研究指出,硝化过程中AOB反硝化作用也是活性污泥系统产生N2O不可忽视的途径,且被认为是污水处理系统产生N2O的主要来源。AOB可以在低DO或高NO2-浓度情况下,将NO2-逐步还原为N2O,这个过程被称为AOB反硝化作用。低DO浓度会对NOB产生明显抑制作用,使NO2-进一步氧化受阻,造成NO2-积累;此时,AOB会分泌一系列Nir、异构亚硝酸盐还原酶/Ntr和Nor等酶,而Nor酶在有氧条件下不会受到抑制,且AOB基因组中没有发现编码Nos的基因,所以,AOB反硝化终产物不是N2而是N2O[图1(d)]。AOB在Ntr酶催化作用下可直接[图1(d)中左侧水平粗红色线条]将NO2-还原形成N2O,亦可在反硝化过程[图1(d)中右侧水平粗红色线条]经NO而形成N2O。这两个生物途径构成了AOB产生N2O的主要过程,且此两途径在DO<1.5 mg·L-1便可以发生,至DO<0.2 mg·L-1时作用最为明显。
1.3 非生物化学路径
除生物主要途径外,非生物次要化学途径亦可产生少量N2O;NH2OH、NOH和HNO2等是在污水或自然水体中化学产生N2O的主要前体物质。NH2OH除能通过自身歧化反应产生N2O外,亦可与O2和HNO2反应产生N2O。此外,在相关环境条件下,氧化还原活性金属(铁和锰)、有机物(腐殖酸和黄腐酸)和氮循环中间体之间的化学反应也可能产生N2O。
污水处理脱氮过程中N2O排放主要源于AOB同步亚硝化与反硝化途径,该途径中AOB反硝化与其亚硝化过程产生的非生物化学途径合在一起可使N2O产生量达TN负荷的13.3%。其次,硝化与反硝化途径经AOB亚硝化过程中间产物NH2OH与NOH非生物化学途径和HDN反硝化不完全所产生的N2O量并不高,占TN负荷的1.3%~3.5%。此外,硝化与反硝化途径中HN-AD与COMAMMOX纯菌株培养过程中N2O产量分别为TN负荷的5.6%与0.05%~0.5%。污水处理脱氮过程中各种生物途径及其中间产物非生物化学途径N2O产率系数总结于表1。

02 污水脱氮过程中N2O减排策略
2.1 硝化与反硝化途径
2.1.1 常规硝化与反硝化
硝化(AOB+NOB)与反硝化(HND)途径中AOB生物与非生物途径只产生少量N2O,且NOB硝化过程并不产生N2O,所以,硝化过程只要保持DO≥2 mg·L-1来保证AOB和NOB硝化顺序完成至NO3-,便可在很大程度上避免硝化过程N2O产生。对HDN反硝化而言,关键是要保证能够获得足够的碳源,因为当进水中碳源不足时,HDN反硝化便会受阻,从而导致NO3-反硝化不完全而止步于N2O。但是,进水中碳源缺乏是我国污水非常普遍的情况,这就需要通过外加碳源方式去促进完全反硝化作用;结果一举两得,同时可以避免N2O积累现象发生。此外,运行实践中好氧池DO也不能维持过高水平,只要硝化完全,DO则不必太高,一般控制在2 mg·L-1即可。否则,曝气池过高DO会随内回流进入缺氧池(如,A2/O工艺),从而抑制反硝化,出现N2O积累而溢出现象。
2.1.2 HN-AD好氧硝化与反硝化
HN-AD菌利用有机碳源和有氧呼吸产生能量,进而完成同步异养硝化-好氧反硝化过程。有研究发现,在混合菌株培养实验中HN-AD菌在C/N=10的条件下,异养硝化-好氧反硝化才能有效进行。然而,进水中缺乏碳源是我国污水非常普遍的情况,且部分碳源属于难生物降解物质,可生物降解碳氮(COD/N)比一般<5。这就意味着我国污水处理脱氮过程中,HN-AD途径产生N2O可能性很小。而目前研究证实的一些HN-AD菌只有在DO≥3 mg·L-1时才能发生有效异养硝化-好氧反硝化,这从另一角度再次说明,实际污水处理过程,HN-AD产生N2O的可能微乎其微。
2.1.3 COMAMMOX硝化
COMAMMOX菌的微生物氧化酶通常在极低DO浓度下表达,并对DO有较高的亲和力。COMAMMOX在低DO条件下可以成为硝化过程优势菌属,但随DO浓度增加,AOB活性逐渐增加,COMAMMOX则会失去竞争力。污水处理过程中,DO控制在2 mg·L-1左右,可有效避免COMAMMOX硝化过程产生N2O。
2.2 AOB同步亚硝化与反硝化
工艺运行环境中发生硝化作用的好氧池一般DO均控制为≥2 mg·L-1,少有出现DO过低(<1.5 mg·L-1)的现象,除非曝气设备出现异常。也就是说,AOB反硝化现象只有在运行异常情况下方可能发生,但其产生N2O的作用并不能因此而掉以轻心。当低DO<1.5 mg·L-1时,会导致AOB利用NO2-作为电子受体将其反硝化产生终产物N2O。同时,低DO容易导致NOB被抑制,造成NO2-积累。此外,通过控制系统污泥龄(SRT)有效持留NOB亦可降低N2O排放量。若能控制系统保持长SRT(约为 20 d),则有利于比增长速率较低(0.801 d-1)的NOB生长,可降低系统中NO2-浓度,最终降低系统N2O产量。因此,硝化过程应保持DO在2 mg·L-1左右,控制系统SRT尽可能要长(如,20 d,同步生物除磷时例外),避免因NOB受DO、SRT抑制而积累NO2-,从而导致AOB反硝化发生产生N2O。
2.3 其它控制措施
2.3.1 加入铜元素
传统硝化与反硝化途径HDN反硝化过程的Nos酶是含铜酶,其活性中心具有催化位点CuZ,含有铜离子,因此,加入铜元素则有利于加强Nos酶活性。铜元素是Nos酶进行生物合成的必需物质,并且它的含量能够影响N2O产量。然而,在实际污水处理系统中,铜元素的作用及其对HDN反硝化过程中N2O产量影响尚未见报道。
2.3.2 pH与温度
此外,污水处理过程中,脱氮微生物相关酶活性与pH密切相关,且影响污水中N元素存在形态,从而会影响污水处理厂N2O产量。硝化过程中AOB与NOB代谢过程适宜pH值分别为7.0~8.5和6.5~7.5。因此,当pH>8.5或<6.5时,NOB代谢活性较AOB更易受pH抑制,致NO2-积累,进而导致N2O产生。因此,污水处理过程中,避免pH过高或过低环境可有效降低N2O排放。
温度主要通过化学平衡、酶活性和溶解度来影响N2O产生。首先,温度扰动会导致NH4+和NO2-氧化反应不平衡。其次,温度为25℃时,Nos酶活性可能增强,从而降低N2O积累速率。总之,夏季时污水处理可实现N2O产生最小化。
03 结语
污水处理生物脱氮过程N2O释放于硝化与反硝化过程,主要与AOB及其同步反硝化、HDN、HN-AD和COMAMMOX等生物途径,以及硝化过程中间产物NH2OH与NOH之非生物化学途径有关。常规硝化与反硝化(AOB+HDN)途径在正常运行工况下N2O排放量并不是很大,约只占进水TN负荷的1.3%;即使是HN-AD与COMAMMOX代谢过程,两者N2O产生量也不足TN负荷得0.5%。而AOB亚硝化(非生物途径)及其同步反硝化(生物途径,主途径)过程是污水处理生物脱氮过程中N2O排放的首要途径,N2O排放量可高达TN负荷的13.3%。原因是硝化过程DO受限引起NO2-积累所诱发的AOB反硝化。
为此,污水处理过程中应尽量避免低DO、NO2-积累和碳源不足等现象。运行实践中,可通过以下3种措施控制N2O排放:①好氧池DO应控制在2 mg·L-1左右;②如果不涉及生物除磷,SRT尽可能要延长至≥20 d;③进水碳源不足时应及时补充外加碳源。这些技术措施可有效防范N2O于未然。

