欢迎光临散文网 会员登陆 & 注册

22/11/11考研数学打卡题

2022-11-10 23:55 作者:华科李开丁老师  | 我要投稿

同学们大家好!

B站专栏打卡题与公众号保持同步

每天8:30发出题目

答案将在第二天与题目一起发出

感谢大家的支持!


欢迎同学们与丁哥讨论交流

QQ群:829862337(1群,已满)

776565529(2群)

微信公众号:考研数学丁哥


喜欢老师的分享就点个赞吧!

你们的支持是我们最大的动力! 


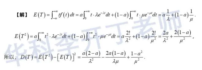
昨日打卡题参考答案: 


今日打卡题内容: 


好好生活!好好学习!

逢考必过!前程似锦!


22/11/11考研数学打卡题的评论 (共 条)

分享到微博请遵守国家法律