色度计算的小例子
对于一个D65标准光源, 取10nm。则有光谱功率分布S(
)如下:

则有D65光源的功率分布图:

XYZ的光谱三刺激值为:

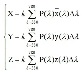
则光源的三刺激值计算公式:

由公式计算得到如下结果。

至此,D65光源的色度坐标即计算完成,关于亮度Lv的计算,理论上计算应该是光源光谱和XYZ标准观察者刺激值加权值在380nm到780nm上的积分。但实际的计算中取值为该波段上离散的点,且点数取的越多,即越小,越接近理论值,通常的计算往往取1nm。我的小案例中为了计算方便,
取了10nm,亮度的计算取实际值有些许差异。