欢迎光临散文网
会员登陆 & 注册
手机站
首页
散文
诗歌
杂文
随笔
日记
小小说
散文网
»
笔记
»
全部笔记
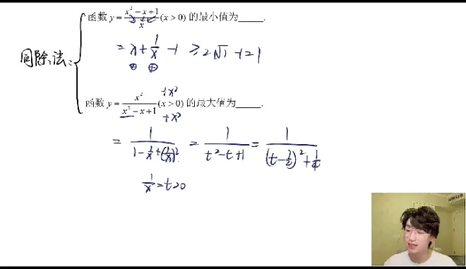
» 高考数学系统复习【函数概念与性质】|函数篇1|小姚老师
高考数学系统复习【函数概念与性质】|函数篇1|小姚老师
2023-06-08 11:34 作者:
瑶光已逝-文复何时
0
人读过
|
我要投稿
加油
标签:
我喜欢(
)
本文
作者的其他文章
高考数学系统复习【函数概念与性质】|函数篇1|小姚老师的评论 (共
条)
分享到微博
请遵守国家法律
瑶光已逝-文复何时
发短消息
关注TA
你可能也喜欢这些文章
国画欣赏之九十一 元代 赵原《陆羽烹茶图》
青岛潍坊威海板绘网课平台哪个好
办理河南鹤壁市电子智能化一级二级资质转让详情【分享资源让更多的人看到】
miniBOOSTER增压器HC9D2W 5.2 A 1参数
重生后,侯门夫人假死嫁权王蔺云婉齐令珩全文免费阅读
送给即将毕业的你
七绝·骄阳倩影知是谁?
高考分数低怎么上二本学校?
ETC是越贵越好?
珠海百度律临网站
最新发布的文章
农发行河津市支行做好年终决算工作
农发行河津市支行持续加强反洗钱工作管理
农发行河津市支行扎实做好安保工作
农发行河津市支行组织开展宪法主题宣传活动
农发行河津市支行开展"挺膺担当,强国复兴"主题团日活动
年终总结2023,布局2024,挑一个目标置顶一整年!
12月20日维护结束,冰雪嘉年华开启!
2023扫文—高热不止 by 黄昏密度
Dive 55 工作的平衡
时尚 | 时尚趋势是如何做出来的?
三星 Galaxy S24 Ultra,HP2SX两亿像素主摄,骁龙8Gen3超频版,钛合金机身,类2K直屏
重庆TOP DECK超牌12月16日游戏王OCG积分赛环境战报
致命公司多人联机mod,汉化游戏下载使用安装教学!
致命公司多人mod,超全MOD模组管理器
战网下载卡在45%登录失败提示2045报错/战网一键下载注册教程!