双功能大环化合物2125661-64-3,p-NH2-Bn-PCTA,具有强键合能力

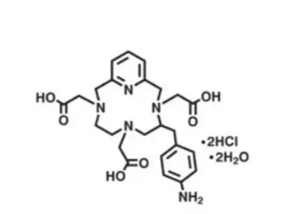
结构式:

化学名称:3,6,9,15-Tetraazabicyclo[9.3.1] pentadeca-1(15),11,13-triene-4-S-(4-aminobenzyl)-3,6,9-triacetic acid
英文名称: p-NH2-Bn-PCTA
中文名称:P-NH2-BN-PCTA 试剂;3,6,9,15-四氮杂双环[9.3.1]PENTADECA-1(15),11,13-三烯-4-S-(4-氨基苄基)-3,6,9-三乙酸
CAS:2125661-64-3
化学式:C24H31N5O6·2HCl·2H2O
分子量:594.5
纯度:95%+
存储条件:-20°C,避光,避湿
大环化合物分为单环化合物和多环化合物,依据配位原子的种类将单环化合物、多环化合物分别分为单一配位原子的单环化合物和多种配位原子的单环化合物、单一配位原子的多环化合物和多种配位原子的多环化合物。
大环化合物由于固有的受限空腔和强键合能力,被广泛用作仿酶反应器,促进底物在空腔中的特异性转化。另一方面,利用大环对“非直接”反应物种的紧密包合,能实现反应的干预与调控,可用于新型催化剂。陕西新研博美生物科技有限公司可以提供:带电MTS试剂、中性MTS试剂、自旋标记MTS试剂、荧光标记试剂等MTS试剂。
包装:

其他相关产品:
Propargyl-NOTA(tBu)2
p-NCS-benzyl-NODA-GA
NOTA(tBu)2,CAS:1161415-28-6
NCS-MP-NODA,CAS:1374994-81-6
NH2-MPAA-NODA
NH2-NODA-GA
Iodo-NODA-GA
DOTA derivatives(DOTA衍生物):
Maleimide-DOTA,CAS:1006711-90-5
DOTA-GA anhydride
DOTA-GA(tBu)4,CAS:306776-79-4
p-NCS-Bz-DOTA-GA
NH2-DOTA-GA
Maleimide-DOTA-GA
DOTA-tris(tBu)ester,CAS:137076-54-1
DO3AM-acetic acid,CAS:913528-04-8
DO3AM-N-(2-aminoethyl)ethanamide
DO3AtBu-N-(2-aminoethyl)ethanamide,CAS: 173308-19-5
DOTA-di(tBu)ester,CAS:913542-71-9
DOTA-tris(tBu)ester NHS ester,CAS: 8199-77-7
DOTA-NHS ester,CAS:170908-81-3
温馨提示:该试剂仅用于科研实验
本篇图文信息均由陕西新研博美生物科技有限公司格格小编提供,如需了解详细烦请联系!