欢迎光临散文网
会员登陆 & 注册
手机站
首页
散文
诗歌
杂文
随笔
日记
小小说
散文网
»
生活
»
日常
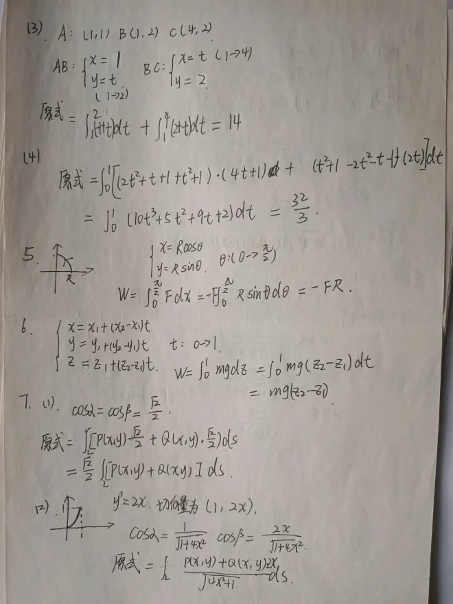
» 高等数学同济第七版习题答案详解(习题11-1&11-2)
高等数学同济第七版习题答案详解(习题11-1&11-2)
2023-04-02 14:12 作者:
mfz2345
0
人读过
|
我要投稿
(个人解得,或有错误,不喜勿喷,欢迎指正)
标签:
我喜欢(
)
本文
作者的其他文章
高等数学同济第七版习题答案详解(习题11-1&11-2)的评论 (共
条)
分享到微博
请遵守国家法律
mfz2345
发短消息
关注TA
你可能也喜欢这些文章
引发胃痛的常见原因有哪些?山西肛泰肛肠医院可以治疗好胃痛吗
小自考深圳大学火热招生,提升学历,就趁现在
崩坏星穹铁道避坑指南
我的AI绘画作品各种女孩136 AI到底多能画 禁止商用 别的随意 所有人物设定全超过18岁
《温热的银莲花》个人评析·单行本第四卷篇
深圳大学小自考是怎么考试的,通过率高吗
马老师金九银十面试突击班
每日分享单曲——《Below The Surface》Philter
【燃血战记】为什么几百年前的海岛上面有宝箱啊!(无上可乐篇)
帅丰集成灶是一线品牌吗?睁大眼看内幕感受,不可忽视这两点
最新发布的文章
农发行河津市支行做好年终决算工作
农发行河津市支行持续加强反洗钱工作管理
农发行河津市支行扎实做好安保工作
农发行河津市支行组织开展宪法主题宣传活动
农发行河津市支行开展"挺膺担当,强国复兴"主题团日活动
年终总结2023,布局2024,挑一个目标置顶一整年!
12月20日维护结束,冰雪嘉年华开启!
2023扫文—高热不止 by 黄昏密度
Dive 55 工作的平衡
时尚 | 时尚趋势是如何做出来的?
三星 Galaxy S24 Ultra,HP2SX两亿像素主摄,骁龙8Gen3超频版,钛合金机身,类2K直屏
重庆TOP DECK超牌12月16日游戏王OCG积分赛环境战报
致命公司多人联机mod,汉化游戏下载使用安装教学!
致命公司多人mod,超全MOD模组管理器
战网下载卡在45%登录失败提示2045报错/战网一键下载注册教程!