国民核生化灾害防护:氚和碳14污染重塑海水环境的微生物代谢网络
01研究背景
氚(3H)和碳-14(14C)是氢(1H)和碳-12(12C)的β衰变放射性核素同位素。氚和碳-14向环境中的释放最近引起了广泛关注。海水中的氚和碳-14可通过食物链转移破坏全球鱼类回游、远洋渔业、人类健康和生态安全,对海洋环境造成严重的生态风险。污染物对生态系统的潜在影响现在被广泛研究,微观模拟实验通过研究污染物对小规模生态系统的影响来研究污染物如何影响较大的生态系统。
02前言
近日,国民核生化灾害防护国家重点实验室Hai-Ling Xi课题组,研究模拟海水氚和碳-14污染,分析其对海水和沉积物微环境的影响。为进一步评估海洋环境中氚和碳-14的风险提供了有价值的信息。相关成果以“Tritium and Carbon-14 Contamination Reshaping the Microbial Community Structure, Metabolic Network, and Element Cycle in the Seawater Environment”为题,发表于环境领域权威期刊ES&T。该论文的第一作者为国民核生化灾害防护国家重点实验室赖金龙博士,通讯作者为Hai-Ling Xi,共同通讯作者为西南科技大学罗学刚教授。

03研究思路
通过构建了一个实验系统来模拟氚和碳-14污染在海水中,并分析这些放射性核素在连续暴露60天后对海洋微生物群落的长期影响。利用代谢组学和宏基因组学来分析沉积物代谢、微生物群落结构和代谢功能的变化。调查结果验证了氚和碳-14对海洋环境中沉积物营养循环关键酶活性的不利影响。为进一步评估海洋环境中氚和碳-14的风险提供了有价值的信息。
04研究结果
1、通过研究放射性核素对海水和沉积物物理化学参数的影响
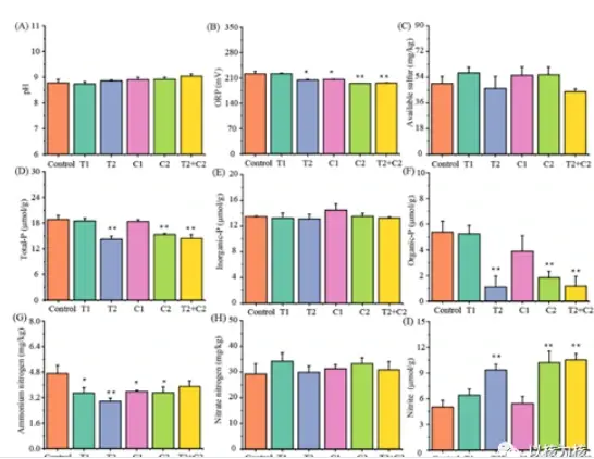
在沉积物中,放射性核素暴露(T1−T2、C1−C2、T2 + C2)对pH、硫、无机磷和硝酸盐水平没有显著影响,但高放射性核素浓度(T2、C2、T2 + C2)显著降低氧化还原电位(降低8 - 12%),总磷(19 - 25%,图1D)、有机磷(66 - 79%)和铵态氮(17 - 37%)。相比之下,亚硝酸盐含量增加了86− 109%。

图1.氚和碳-14暴露60天后沉积物的含量的分析。(A)pH值、(B)氧化还原电位、(C)硫、(D-F)磷和(G-I)氮(*、**表示指标含量在0.05和0.01水平之间差异显著(n = 3)。
2、放射性核素对海水微生物群落结构的影响
在四个处理中总共鉴定了2766个OTU,并且在所有处理中鉴定了329个OTU;变形菌门、拟杆菌门、SAR324_Clade(Marine_group_B)是优势植物群,相对丰度为93−97%;NMDS结果表明,放射性核素暴露显著改变了海水细菌群落结构;微生物群落结构在四个处理之间存在显著差异。总之,暴露于任一放射性核素改变了参与碳,氮,磷代谢和有机物降解的海水微生物的相对丰度。海水微生物群落对氚或碳-14的反应存在差异,这可能反映了海水中微生物群落对氚或碳-14的反应。碳-14很容易被自养微生物同化为含碳有机物,使其对碳-14暴露更敏感。

图2.氚和碳-14暴露60天后海水中微生物组成(A、B)、组间差异(C)和微生物结构差异(D、E)。
3、放射性核素对沉积物代谢物组成的影响
总共1690种代谢物在沉积物中被准确地鉴定。放射性核素暴露显著改变了沉积物代谢物组成,特别是脂质、脂质样分子、有机酸和衍生物。KEGG注释表明DEGs主要参与核苷酸代谢、氨基酸代谢和膜转运途径。在氚(T2)或碳-14(C2)暴露后,DEM显著富集嘌呤代谢、ABC转运蛋白和嘧啶代谢。在氚和碳-14联合暴露(T2 + C2)后,DEM显著降低富含ABC转运蛋白、淀粉和蔗糖代谢以及脂质代谢。暴露于单一放射性核素显著降低了嘌呤代谢物(0.47 - 0.72倍)以及亮氨酰亮氨酸和高精氨酸(0.72 - 0.78倍)。

图3.沉积物中代谢差异的富集途径分析注:具有显著富集的代谢途径的筛选阈值:P < 0.05
4、放射性核素对沉积物微生物群落的影响
RDA结果显示,表明第一轴细菌微生物群落显著分离所有环境变量和四个处理。沉积物ORP、总磷、有机磷和亚硝酸盐含量与细菌丰度显著相关。交互作用网络分析表明,拟杆菌门、硝化螺旋菌门、浮游菌门、蓝细菌门、厚壁菌门、紫细菌门和热丝菌门与沉积物磷、氮循环有显著相关。

图4. RDA/CCA(A)和网络热图(B)分析微生物丰度与环境因子的关系(门水平,前15; 皮尔逊相关系数> 0.8或<-0.8,P < 0.05)。
5、放射性核素对沉积物KEGG功能的影响
放射性核素暴露后,这些DEG在光合作用(ko 00195)、细菌趋化性(ko 02030)和糖酵解/糖异生(ko 00010)中显著富集。细胞光合作用是将两种放射性核素转化为有机化合物的关键途径,射性核素暴露显著上调了光系统II和光系统I基因的表达,这增强了光合作用的效率,但进一步增加了无机放射性核素转化为有机化合物的潜在风险。海洋微环境中溶解的有机物、氮和碳的生物地球化学循环促进了细菌的趋化性。糖酵解/糖异生途径与沉积物中的糖生物转化密切相关。总之,氚或/和碳-14暴露可在功能基因水平上重塑沉积物物质循环功能。

图5.在单一氚(A)、碳-14(B)暴露和组合暴露组(C)中显著富集的DEG的代谢途径分析。注:(A-C)仅显示了不同对照组中前15种代谢途径。
6、放射性核素对养分循环的影响
磷循环中的靶基因涉及有机磷矿化、磷溶解和转运蛋白。共鉴定了20个参与微生物磷循环的基因。磷溶解相关基因(gcd,ppa,ppx)的相对丰度显着增加放射性核素暴露。放射性核素暴露后,有机磷矿化基因(phnE/M/W和phoD)的相对丰度差异显著。参与硫酸盐还原和SOX系统的基因的相对丰度(例如,cysC/I,sir,soxB/Y/X)显著升高。我们鉴定了31个氮代谢差异基因,这些基因的表达丰度与氨氮水平、脲酶、NR和Nir呈显著相关。氚暴露(T2)显著降低了沉积物中氮循环基因的相对丰度(例如,narG、nirA、nirK)。氚和碳-14暴露对沉积物氮循环基因丰度的影响在硝化途径上存在显著差异。然而,碳-14暴露(C2)或组合暴露(T2+C2)诱导了氮循环基因(例如,C2)的相对丰度的显著增加。narG,nirB,narB,nasA,nosA,NifDKH),表明氚和碳-14暴露改变了氮循环中关键酶的表达,从而影响了沉积物中酶的催化活性和氮代谢。

图6. 沉积物中参与磷(A)和硫(B)代谢循环的基因的相对丰度。注:*、** 表示处理组和对照组之间的显著差异为0.05和0.01(n = 3)。
05研究结论
含氚和碳14的放射性废水对水生态环境的潜在生态风险需要认真评估。氚和碳-14污染可以改变海水和沉积物中的微生物群落结构,从而重塑沉积物代谢循环功能。在水生生态系统中,碳-14比氚更具有生物可利用性,碳-14暴露调节沉积物碳水化合物代谢,而氚暴露可能增加抗生素抗性基因积累的风险。研究结果可为自然环境中氚和碳-14污染的生态风险评价提供参考。
参考来源:DOI:10.1021/acs.est.3c00422
上海鹿明生物科技有限公司是欧易生物旗下从事蛋白质组及代谢组质谱检测的专业质谱组学服务公司。公司建有空间代谢组商业服务平台,深耕质谱组学检测分析,具体包括空间代谢组、双平台代谢组、靶向代谢组、TMT标记定量蛋白组、翻译后修饰蛋白组、4D-DIA蛋白组、单细胞及超微量蛋白组、空间蛋白组等。创新质谱组学平台广泛应用于机制解析、分型诊断、标志物筛选、药靶发掘等多个领域。公司并先后获得高新技术企业、上海市专精特新企业并建有院士专家工作站,自有包括tims tof pro2在内的各类大型质谱近二十台套,年服务项目超2000项。鹿明生物协助合作伙伴发表SCI论文近千篇,成功打造以硬数据、好服务为基础,以空间代谢组为特色的质谱组学检测服务公司品牌。


