学会刻画参数,圆锥曲线大题思路也很清晰!小姚老师|亲子理论第二集:切线与同构
2023-07-28 22:42 作者:bili_14771140465 | 我要投稿
对于任意的解析几何大题第一步都应该先把思路给理清,而不是每次都是无脑设直线,写韦达(亲子理论就是这个作用)


例题
其中,子代一般分为两类
①用来刻画y₁,y₂,y₃三个亲本之间的关系式
②由亲本延伸出来的新的几何元素
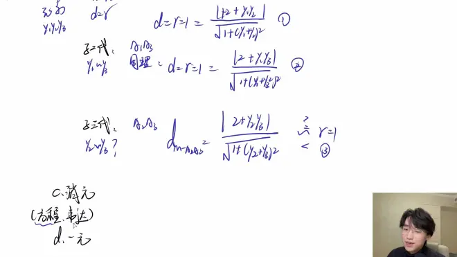
本题思路


看到相切,想①d=r②垂直关系
这里要想列出d=r,首先要知道A₁A₂的直线方程

接着列方程即可

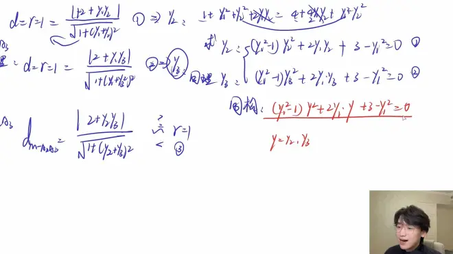
最后

在之后消元,一定要有选择的消,如果①式②式消y₁,没有任何意义,所以选择①式消y₂,②式消y₃,将③式构造为一个关于y₁的一元方程

之后写韦达

最后得到

阿基米德三角形:抛物线上的弦与过弦的端点的两条切线所围成的三角形
例题
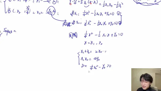
此题已知亲本之间的关系,所以现在的子代是由亲本P延伸出的新的几何元素

修改法则:可直接得到切点弦AB直线方程

如果不会修改法则,也可以👇

阿基米德三角形特色:AB中点的横坐标和P的横坐标一样,所以PN是一条竖直线

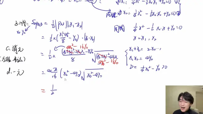
所以用分割法

之后得到面积公式

再消元

最后换元

通过图像得到y0范围

最后

另一种解法
切点弦方程的证明👇

之后


