参宿四的燃烧阶段与超新星演化争议讨论

受到@InfiniteUYScuti的私信回复临时写个专栏。
最近看到了一篇来自arXiv上的预印本论文,标题是The evolutionary stage of Betelgeuse inferred from its pulsation periods(从脉动周期推断参宿四的演化阶段)。该论文在结论处提到,参宿四很可能处于碳燃烧阶段的后期,并且作为下一颗河内超新星的候选者。
通读全文后,我决定写个专栏讨论一下参宿四的燃烧阶段与超新星演化争议。首先,诚然该论文的完成度很高,且结果在理论上确实具有普遍可能性,但本人对此论文的观点暂持谨慎怀疑态度,当然这只是本人的个人看法,仅作为论文相关内容的探讨。
一、原始论文回顾
论文首先计算了参宿四从零龄主序带(ZAMS)到核心碳燃烧结束之前的演化模型。该模型计算以日内瓦恒星演化代码进行辅助。一些基础参数如下。
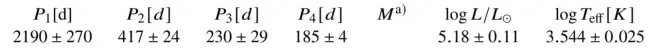
光度值设定为log(L/L⊙)=5.18,数据由2微米全天巡天(2MASS)的K波段星等(-4.378)、K波段光度热改正值(2.92)以及参宿四距离222pc(基于依巴谷卫星和无线电波噪声)推算而来。有效温度采用另一篇文献的3500K。



周期选定了以美国变星观测者协会(AAVSO)的数据为基础的数值。由于参宿四是一颗半规则的脉动变星,各自的周期可能会有所不同,因此一共4个周期数值,分别为2190,417,230,185天。

初始元素组成采用另一篇文献的数值。 即,氢、氦、金属分别为0.7064、0.2735、0.02。对流包层的混合长压力标高设置为1.6,并使用施瓦西准则确定对流核心边界。初始旋转速度分别为0.1v、0.2v和0.4v,v是零龄主序带的临界旋转速度。

另外使用非绝热线性径向脉动代码,可以获取不同模型的径向脉动的周期。该代码脉动代码由该论文原作者1983年的另一篇论文代码修改而来,修改处包括脉动和时间依赖对流之间耦合的效果。非绝热径向脉动代码可筛选特定演化模型,并获得了4组拟合的径向脉动模式,这些激发径向脉动周期与参宿四观测到4个周期大致一致。下图左侧为参宿四在赫罗图中的位置和演化轨迹,右侧为参宿四的四个周期内的激发径向脉动,过程自恒星内部的氦耗尽至碳耗尽。下表为拟合模型的具体参数。这些模型处于碳燃烧末期阶段,其光度范围在5.26<logL/L⊙<5.28内。零龄主序带的质量为19M⊙,预计最终会减少到11-12M⊙。


不同激发模式的空间振幅变化下图上方所示,实线部分代表包层随温度变化过程。为了计算线性脉冲模式,求解了一组含有特征值σ和表达径向位移的时间变化δrexp(iσt)的复杂空间函数方程。 实际的脉动以[δrexp(iσt)]r形式表示,因此δr的虚部则表达了偏离包层中的驻波特征偏差(即在脉动循环中的变位零点),而σ的虚部则代表了脉动模式的阻尼/增长率。与经典造父变星的绝热脉动相反,特超巨星的脉动是是非绝热的,因此σr和σ的虚部可以直接与实部相比较。

经上图中比较发现,P1周期(2181天)中的δr在最外层几乎是平整的,不会产生明显的变化,而之后则是缓慢的降低,这正是径向基本模式的特性。因此认为最长的P1周期为基本模式的脉动,而不是未知原因的长次周期变星(LSP)。 P2周期(434天)的位移在LogT≈4.4处的倾角与上方绝热脉动中的节点相对应,这表明P2是第一个泛音,而在非绝热搏动中没有明确的节点对应,这是因为δr实部和虚部的零点分离了。在图的中部,P3和P4中的实线部分δr产生多段快速下降,因此分别将P3和P4识别为第二和第三泛音。
二、争议之处讨论
1.参数争议
①半径
参宿四拥有多个复杂的信号。比较公认的其拥有4个周期,通常最长的P1周期(2200天)被认为是未知来源的长次周期变星(LSP),而P2周期(380-430天)则被认为是径向基本P模式,其他的周期确定为其P模式驱动的泛音。 但在本论文中,作者认为P1周期为径向基本P模式,其他为泛音,也就是说4个周期全部为P模式驱动。如此长周期的P模式需要参宿四拥有更大的体积,根据另一篇文献的推算,这需要至少1400R⊙才可以满足。
参宿四的半径一直难以确定,尽管其角直径已存在多个波段波长测量值。 但是由于可能受到周边昏暗,恒星黑子,分子云层和星周尘等因素的影响,测量结果不一定能直接检测到恒星光球层,因此,原始测量值不能直接推算恒星半径。一般情况下会使用特定的模型去计算其半径来尽量降低干扰,而参宿四在许多文献的角直径参考值都在45毫角秒以下,在这种情况下,即使以相对远的距离参考值222秒差距来计算,参宿四的半径也会在1100R⊙以下,而大部分的参宿四半径估算值都在1000R⊙以下,这显然无法满足长周期的P模式的需求。
②自转速度
论文中的模型即使在早期的零龄主序带阶段以临界值的40%旋转,其旋转速度也小于0.1km/s,而过往文献内的参宿四自转速度参考值为6.5km/s。虽然这个差异可能是由于使用的单星模型导致的,理论上参宿四确实可能因与半星合并而获得额外的角动量,但差异仍过大,就算调整模型考虑合并的角动量,其也不一定能和此参数匹配。
③半径质量比
论文中的模型提供的半径质量比R/M约为110,过往文献的数值约为82,原作者认为差异并不大,其假设的恒星参数函数的质量损失率与实际质量损失率存在误差,但我比较了别的文献发现其模型的质量损失率与其他模型相差不大,但半径质量比却有着超过20%的差距,这说明模型其他参数可能不太一致。
2.模型争议
论文里使用模型几乎完全采用非绝热计算,因此不会捕获非线性密度和大气层的不透明度,这会忽略κ机制的激发。当不透明度同温度都增加时,大气层将不再稳定,无法完全抵消恒星脉动。而当大气朝一侧向内移动时,大气的密度和不透明度将同样增加,内部的热流也将阻挡。被阻挡的热能也会使恒星压力增加,恒星的大气层重复地进行内外运动。另外非绝热线性振荡考虑到了对流传输扰动,没有保持流体力学一致,在大气不均匀时可能会产生误差。
论文采用的模型是完全线性的理论框架,因此该模型并未包括恒星物理边界外的影响,也就是说尘埃和气体分子云等的相互作用没有被考虑,尽管它们的影响可能没有那么明显。 另外,论文里在计算光度扰动时使用的公式仅适用于光球层相对固定的条件,而对于像参宿四这样的恒星其丰度很可能受到稀释而使得此公式结果偏移。
论文没有使用流体力学来建模去规定脉动的振幅增长,而是假定其模式振幅的增长率。这一点我也无法确定其是否有问题,由于成本和时间的问题,不少论文都会假定其模式振幅的增长率,并且如果论文里的初始模型参数与其恒星匹配率足够,那么即使不用建模也没有太大问题。
3.结果争议
在上述模型关于不同激发模式的空间振幅变化图中,作者认为由于δr在最外层几乎是平整的,不会产生明显的变化,并且之后则是缓慢的降低,来判断这属于径向基本模式。虽然基本模式的径向脉动的确表现如此,但是根据我查询的资料,如果恒星迸发到外界的气体在冷却过程中没有与内部压力平衡,那么也有低概率出现这种情况,同理上方绝热脉动对应也可能因这种罕见现象而恰好相同。
另外,由于红超巨星阶段质量损失较大,CNO循环过程中的产物可能会在表面出现并使得N/C和N/O比率发生变化。 该模型中在核心碳燃烧阶段拟合的N/C和N/O比例高于过往文献。这种差异似乎表明旋转扩散效果被高估了,论文里的对其扩散效果的纠正似乎有矫枉过正。原作者认为红超巨星阶段本就会呈现这样的包层结构,因此其预计这不会影响该阶段脉动模式的特性。由于过往文献为非线性模型,因此具体差异仍取决于各自模型拟合的正确程度。
三、作者本人回复
我向原作者斉尾英行教授发送了邮件进行了询问,并给予了以下评论。
1.原作者给我发了几篇支持参宿四大半径的参考文献,这些参考文献提供的角直径都至少为45毫角秒并且少数甚至超过了50毫角秒,并且作者将其与周边灰暗的相关公式拟合,计算出的结果上下波动均在10%以内,因此其认为论文的原本结论也是一种良好的可行性推测。
2.计算采用非绝热脉动是为了更好地描述碳燃烧阶段的模型(尤其是后期),而由于κ机制的恒星非绝热脉动基本都会发生在部分电离的区域或负离子区域,因此作者认为即使有影响也不会很大。
3.线性理论模型的确会忽略恒星外部的影响,但同样地如果采用非线性模型,那么就必须对外部参数进行完整校正,否则其结果可能反而不如线性模型精确。
总之作者认为其结论代表了一种可能,这是根据其使用的观测数据和计算结果而得到的一种合理性推算。另外,由于这是预印版本,作者说不排除后续添加其他辅助性证据内容的可能。

感谢论文原作者斉尾英行教授的讨论回复,部分内容参考自Chris Lintott教授在小蓝鸟上的讨论。
四、参考文献
Saio H, Nandal D, Meynet G, et al. The evolutionary stage of Betelgeuse inferred from its pulsation periods[J]. arXiv preprint arXiv:2306.00287, 2023.
Grigahcène A, Dupret M A, Gabriel M, et al. Convection-pulsation coupling-I. A mixing-length perturbative theory[J]. Astronomy & Astrophysics, 2005, 434(3): 1055-1062.
Stothers R, Leung K C. Luminosities, masses and periodicities of massive red supergiants[J]. Astronomy and Astrophysics, Vol. 10, p. 290-300, 1971, 10: 290-300.
Haubois X, Perrin G, Lacour S, et al. Imaging the spotty surface of Betelgeuse in the H band[J]. Astronomy & Astrophysics, 2009, 508(2): 923-932.
Levesque E M, Massey P, Olsen K A G, et al. The effective temperature scale of galactic red supergiants: cool, but not as cool as we thought[J]. The Astrophysical Journal, 2005, 628(2): 973.
Cutri R M, Skrutskie M F, Van Dyk S, et al. VizieR online data catalog: 2MASS all-sky catalog of point sources (Cutri+ 2003)[J]. VizieR online data catalog, 2003: II/246.
Saio H, Winget D E, Robinson E L. Pulsation properties of DA white dwarfs-radial mode instabilities[J]. Astrophysical Journal, Part 1, vol. 265, Feb. 15, 1983, p. 982-995., 1983, 265: 982-995.
Lobel A, Dupree A K. Modeling the variable chromosphere of α orionis[J]. The Astrophysical Journal, 2000, 545(1): 454.
Dupree A K, Strassmeier K G, Calderwood T, et al. The Great Dimming of Betelgeuse: A Surface Mass Ejection and Its Consequences[J]. The Astrophysical Journal, 2022, 936(1): 18.
Cannon E, Montargès M, de Koter A, et al. The dusty circumstellar environment of Betelgeuse during the Great Dimming as seen by VLTI/MATISSE[J]. arXiv preprint arXiv:2303.08892, 2023.
Unno W. Stellar radial pulsation coupled with the convection[J]. Publications of the Astronomical Society of Japan, vol. 19, p. 140 (1967)., 1967, 19: 140.
Montargès M, Kervella P, Perrin G, et al. Properties of the CO and H2O MOLsphere of the red supergiant Betelgeuse from VLTI/AMBER observations[J]. Astronomy & Astrophysics, 2014, 572: A17.
Kiss L L, Szabó G M, Bedding T R. Variability in red supergiant stars: pulsations, long secondary periods and convection noise[J]. Monthly Notices of the Royal Astronomical Society, 2006, 372(4): 1721-1734.
Taniguchi D, Yamazaki K, Uno S. The Great Dimming of Betelgeuse seen by the Himawari-8 meteorological satellite[J]. Nature Astronomy, 2022, 6(8): 930-935.
Granzer T, Weber M, Strassmeier K G, et al. Betelgeuse: Long Secondary Period, a Fundamental Mode and Overtones[C]//Cambridge Workshop on Cool Stars, Stellar Systems, and the Sun. 2022: 185.
Meynet G, Haemmerlé L, Ekström S, et al. The past and future evolution of a star like Betelgeuse[J]. European Astronomical Society Publications Series, 2013, 60: 17-28.
Wheeler J C, Nance S, Diaz M, et al. The Betelgeuse Project: constraints from rotation[J]. Monthly Notices of the Royal Astronomical Society, 2016: stw2893.
Kervella P, Decin L, Richards A M S, et al. The close circumstellar environment of Betelgeuse-V. Rotation velocity and molecular envelope properties from ALMA[J]. Astronomy & Astrophysics, 2018, 609: A67.
Ekström S, Georgy C, Eggenberger P, et al. Grids of stellar models with rotation-I. Models from 0.8 to 120 M⊙ at solar metallicity (Z= 0.014)[J]. Astronomy & Astrophysics, 2012, 537: A146.
Harper G M, Brown A, Guinan E F, et al. An updated 2017 astrometric solution for Betelgeuse[J]. The Astronomical Journal, 2017, 154(1): 11.
Yusof N, Hirschi R, Eggenberger P, et al. Grids of stellar models with rotation VII: models from 0.8 to 300 M⊙ at supersolar metallicity (Z= 0.020)[J]. Monthly Notices of the Royal Astronomical Society, 2022, 511(2): 2814-2828.
Joyce M, Leung S C, Molnár L, et al. Standing on the shoulders of giants: New mass and distance estimates for betelgeuse through combined evolutionary, asteroseismic, and hydrodynamic simulations with MESA[J]. The Astrophysical Journal, 2020, 902(1): 63.
Anderson R I, Saio H, Ekström S, et al. On the effect of rotation on populations of classical Cepheids-II. Pulsation analysis for metallicities 0.014, 0.006, and 0.002 (Corrigendum)[J]. Astronomy & Astrophysics, 2020, 638: C1.
Jadlovský D, Krtička J, Paunzen E, et al. Analysis of photometric and spectroscopic variability of red supergiant Betelgeuse[J]. New Astronomy, 2023, 99: 101962.
Dolan M M, Mathews G J, Lam D D, et al. Evolutionary tracks for Betelgeuse[J]. The Astrophysical Journal, 2016, 819(1): 7.
Saio H, Wood P R, Takayama M, et al. Oscillatory convective modes in red giants: a possible explanation of the long secondary periods[J]. Monthly Notices of the Royal Astronomical Society, 2015, 452(4): 3863-3868.
Derekas A, Kiss L L, Bedding T R, et al. Ellipsoidal variability and long secondary periods in MACHO red giant stars[J]. The Astrophysical Journal, 2006, 650(1): L55.
Ogane Y, Ohshima O, Taniguchi D, et al. UBVRI photometry of Betelgeuse over 23 years since 1999[J]. arXiv preprint arXiv:2211.04512, 2022.
MacLeod M, Antoni A, Huang C D, et al. Left Ringing: Betelgeuse Illuminates the Connection Between Convective outbursts, Mode switching, and Mass Ejection in Red Supergiants[J]. arXiv preprint arXiv:2305.09732, 2023.
Levesque E M, Massey P. Betelgeuse just is not that cool: effective temperature alone cannot explain the recent dimming of Betelgeuse[J]. The Astrophysical Journal Letters, 2020, 891(2): L37.
Wood P R, Nicholls C P. Evidence for mass ejection associated with long secondary periods in Red Giants[J]. The Astrophysical Journal, 2009, 707(1): 573.
Wasatonic R. Visual and Near-Infrared Photometric Observations of Betelgeuse[J]. continuum, 2022, 754: 11.
Soszyński I, Olechowska A, Ratajczak M, et al. Binarity as the Origin of Long Secondary Periods in Red Giant Stars[J]. The Astrophysical Journal Letters, 2021, 911(2): L22.
Mittag M, Schröder K P, Perdelwitz V, et al. Chromospheric activity and photospheric variation of α Ori during the great dimming event in 2020[J]. Astronomy & Astrophysics, 2023, 669: A9.
Carr J S, Sellgren K, Balachandran S C. The first stellar abundance measurements in the Galactic Center: the M supergiant IRS 7[J]. The Astrophysical Journal, 2000, 530(1): 307.
Sullivan J M, Nance S, Wheeler J C. The Betelgeuse Project. III. Merger Characteristics[J]. The Astrophysical Journal, 2020, 905(2): 128.
Molnár L, Joyce M, Leung S C. Comment on the Feasibility of Carbon Burning in Betelgeuse[J]. Research Notes of the AAS, 2023, 7(6): 119.
Kravchenko K, Jorissen A, Van Eck S, et al. Atmosphere of Betelgeuse before and during the Great Dimming event revealed by tomography[J]. Astronomy & Astrophysics, 2021, 650: L17.
Josselin E, Blommaert J, Groenewegen M A T, et al. Observational investigation of mass loss of M supergiants[J]. Astronomy and Astrophysics, v. 357, p. 225-232 (2000), 2000, 357: 225-232.
Montargès M, Cannon E, Lagadec E, et al. A dusty veil shading Betelgeuse during its Great Dimming[J]. Nature, 2021, 594(7863): 365-368.
Luo T, Umeda H, Yoshida T, et al. Stellar models of Betelgeuse constrained using observed surface conditions[J]. The Astrophysical Journal, 2022, 927(1): 115.
Nance S, Sullivan J M, Diaz M, et al. The Betelgeuse Project II: asteroseismology[J]. Monthly Notices of the Royal Astronomical Society, 2018, 479(1): 251-261.