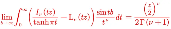
Practice_1_a difficult limit exercise

Where is modified bessel function of the first kind
is modified struve function
Before tackle this limit, I mention a lemma which would be used in procedure.
Lemma:
above formula holds when
But according to the theorem of analytic continuation, the limitation can be deleted.
Proof of Lemma:
Denote
Expand to series and exchange the order of the double summation
The sum of the nested series had been evaluated earlier
(its proof won't be posted here because of its cumbersome process, but I will prove it in my next article)
Its value is given by
which holds when
Plug its value into , we obtain
Exchange the order of the former summation, and note that the latter series is modified Struve function of order .
Hence,
To calculate the former series, replace by
, hence
Obviously, the double series is the product of two simple series
where
and
Plug these value into , and after some elementary operation, we obtain
Then we can calculate the limit by using the lemma which is proved earlier in this article.
On the one hand
multiply both sides by , and integrate
from 0 to infinity, we get
On the other hand, according to the integral expression of Bessel function of the first kind
exchange the order of integration and summation
Note that the two integral
and
are both derived from the series
Hence
Take the limit both side as tend to infinity.
At last, replace by
, we obtain

