如何用一个方法解决所有“根的分布”问题?【初高衔接】

这么用心写的笔记,如果对你有帮助
请把它顶上去 点个免费的赞投个币吧

根的分布00:03
00:03
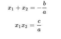
可能用到韦达定理,画图法,分离参数等方法
题型一:根和“零”比
00:51

一个根大于0,一个根小于0
等价于X1X2<0
然后用韦达定理

当然,到了高中,出题人不会出这么简单的问题
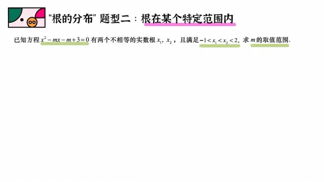
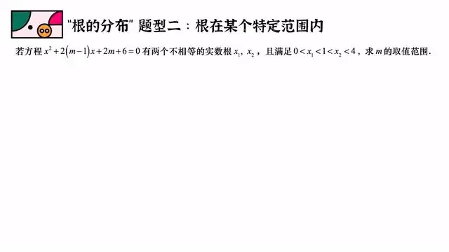
题型二:根在特定范围内
02:41
这时我们用到的方法是:画图



将图画出
开口:a=1>0
对称轴:m/2,且-1<m/2<2
Δ=(-m)²-4(-m+3)>0
特殊点:x=-1,x=2时函数值大于零
解不等式,得出答案

13:19

分类讨论
当m>0,开口向上,画图得,当x=4时函数值小于0,同时Δ一定大于零
当m<0,开口向下,画图得,当x=4时函数值大于0,同时Δ一定大于零

关键看根之间有没有特殊点!

21:31

这题我们只看特殊点0,1,4
0,4处函数大于零
1处小于零
解不等式,取交集


这么用心写的笔记,如果对你有帮助