Adding Vectors by Components
Components:a vector that lies in a particular plane, it can be expressed as the sum of two other vectors, called the components of the original vector.
the process of finding the components is known as resolving the vector into its components.
the vector components are written :

The longest side of a right triangle, opposite the right angle, is called the hypotenuse, which we label h. The side opposite the angle u is labeled o, and the side adjacent is labeled a. We let h, o, and a represent the lengths of these sides, respectively.
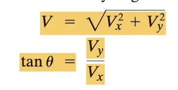
以下是一些需要用到的公式:






一个可以让人更好理解的图:

eg.
Mail carrier’s displacement. A rural mail carrier leaves the post office and drives 22.0 km in a northerly direction. She then drives in a direc- tion 60.0° south of east for 47.0 km (Fig. 3–15a). What is her displacement from the post office?

解题过程:

好了,今天的分享就到这里了,谢谢阅读~